基本介紹
拉氧頭孢【性狀】常用其鈉鹽,為白色或淡黃白色粉末或塊狀物,無臭。易溶於水和甲醇,微溶於乙醇,幾不溶於丙酮、乙醚、氯仿、醋酸乙酯或己烷等非極性溶劑中。
【藥理作用】抗菌譜與頭孢噻肟近似,對多種革蘭陰性菌有良好的抗菌作用。大腸桿菌、流感桿菌、克雷白桿菌、各型變形桿菌、腸桿菌屬、枸櫞酸桿菌、沙雷桿菌等常對該品高度敏感。對厭氧菌有良好的抗菌作用。此外,由於該品的耐β-內醯胺酶的性能強,微生物對該品很少發生耐藥性。
【適應症】用於敏感菌所致肺炎、氣管炎、胸膜炎、腹膜炎,以及皮膚和軟組織、骨和關節、耳鼻咽喉、創面等部位的感染,還可用於敗血症和腦膜炎。
【用量用法】1.肌註:1次0.5~1g,每日2次,用0.5%利多卡因注射液溶解,作深部肌注。2.靜註:1次1g,每日2次,溶解於等滲鹽水或5%~10%葡萄糖液10~20ml液體中,緩緩注入。3.靜滴:1次1g,每日2次,溶於等滲鹽水或5%~10%葡萄糖液100ml中滴入,重症可加倍量給予。4.兒童用量:1日每千克體重40~80mg,分2~4次,靜注和靜滴可用等滲鹽水,5%~10%葡萄糖注射液、滅菌注射用水、低分子右鏇糖酐注射液等作溶劑,但不得與甘露醇注射液相配伍
【注意事項】1.偶可致過敏性休克或其他過敏症狀。2.其他不良反應有腎臟損害、血象改變、肝功能受損、胃腸道反應、菌群失調等。3.該品還可致出血傾向,劑量增大時尤甚。4.溶解後應立即使用,未用完的藥液必須在冰櫃中保存,在24小時內用完。
藥品規格
注射劑:每瓶0.25g、0.5g、1g。
其他信息
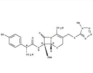
結構式拉氧頭孢鈉
Layangtoubaona
LatamoxefSodium
C20H18N6Na2O9S564.44
該品為(6R,7R)-7-[2-羧基-2-(4-羥苯基)乙醯氨基]-7-甲氧基-3-[(1-甲基-1H-四唑-5-基)硫代甲基]-8-氧代-5-氧雜-1-氮雜雙環[4.2.0]辛-2-烯-2-甲酸二鈉鹽。按無水物計算,含C20H20N6O9S不得少於83.0%。
【性狀】該品為白色至淡黃色粉末或塊狀物;無臭,有引濕性。
該品在水和甲醇中易溶;在乙醇中微溶,在乙醚中幾乎不溶。
比鏇度取該品,精密稱定,加磷酸鹽緩衝液(pH7.0)溶解並稀釋製成每1ml中含10mg的溶液,依法測定(附錄ⅥE),比鏇度為-37°至-40°。
吸收係數取該品,精密稱定,加水溶解並稀釋製成每1ml中含20μg的溶液,照紫外-可見分光光度法(附錄ⅣA),在270nm的波長處測定吸光度,吸收係數()為200~230。
【鑑別】(1)取該品約20mg,加水15ml使溶解,加鹽酸羥胺醋酸鈉試液2ml與氫氧化鈉試液2ml,放置5分鐘,加1mol/L鹽酸溶液3ml與三氯化鐵試液1ml,搖勻,溶液呈棕褐色。
(2)在含量測定項下記錄的色譜圖中,供試品溶液主峰的保留時間應與對照品溶液主峰的保留時間一致。
(3)取該品與拉氧頭孢對照品適量,分別加水溶解並製成每1ml中含拉氧頭孢10mg的溶液,作為供試品溶液與對照品溶液。照薄層色譜法(附錄ⅤB)試驗,吸取上述兩種溶液各10μl,分別點於同一矽膠G薄層板上,以乙酸乙酯-水-乙腈-冰醋酸(21:9:7:7)為展開劑,展開,取出,熱風吹乾,置碘蒸氣中顯色。供試品溶液所顯主斑點的顏色和位置應與對照品溶液主斑點的顏色和位置相同。
(4)取該品適量,加水製成每1ml中含拉氧頭孢20μg的溶液,照紫外-可見分光光度法(附錄ⅣA)測定,在226nm及270nm的波長處應有最大吸收。
(5)該品的紅外光吸收圖譜應與拉氧頭孢對照品的圖譜一致。
(6)該品顯鈉鹽的火焰反應。
以上(2)、(3)兩項可選做一項。
【檢查】酸度取該品,加水製成每1ml中約含拉氧頭孢0.1g的溶液,依法測定(附錄ⅥH),pH值應為5.0~7.0。
溶液的澄清度與顏色取該品5份,分別加水製成每1ml中含拉氧頭孢0.1g的溶液,溶液應澄清無色;如顯渾濁,與1號濁度標準液(附錄ⅨB)比較,均不得更濃;如顯顏色,與黃色或黃綠色6號標準比色液(附錄ⅨA第一法)比較,均不得更深。
水分取該品,照水分測定法(附錄ⅧM第一法A)測定,含水分不得過5.0%。
異構體比例取該品適量,照含量測定項下的方法測定,供試品溶液色譜圖中拉氧頭孢R異構體與拉氧頭孢S異構體峰面積之比應為0.8~1.4。
有關物質取該品適量,精密稱定,加水溶解並稀釋成每1ml中含拉氧頭孢1.0mg的溶液,作為供試品溶液;精密量取1ml,置100ml量瓶中,加水稀釋至刻度,搖勻,作為對照溶液。照高效液相色譜法(附錄VD)測定,用十八烷基矽烷鍵合矽膠為填充劑;流動相A為0.01mol/L醋酸銨溶液-甲醇(99:1),流動相B為0.01mol/L醋酸銨溶液-甲醇(70:30),按下表進行線性梯度洗脫;流速為每分鐘1.0ml;柱溫為30℃;檢測波長為254nm。取供試品溶液適量,在80℃水浴中加熱30分鐘,冷卻,量取10μl注入液相色譜儀,記錄色譜圖,拉氧頭孢R異構體峰保留時間約為17分鐘,且R異構體和S異構體兩主峰之間分離度應不小於3.0,兩主峰與相鄰雜質峰的分離度應符合要求。精密量取對照溶液10μl,注入液相色譜儀,調節檢測靈敏度,使兩主成分中任一主成分色譜峰的峰高約為滿量程的20%-25%。精密量取供試品溶液和對照溶液各10μl,分別注入液相色譜儀,記錄色譜圖。供試品溶液的色譜圖中如有雜質峰,單個雜質峰面積不得大於對照溶液兩主峰面積之和的2倍(2.0%),各雜質峰面積的和不得大於對照溶液兩主峰面積之和的5倍(5.0%)(供試品溶液中任何小於對照溶液兩主峰面積0.1倍的峰可忽略不計)。
時間(min) | A相(%) | B相(%) |
0 | 99 | 1 |
30 | 50 | 50 |
40 | 0 | 100 |
50 | 0 | 100 |
51 | 99 | 1 |
65 | 99 | 1 |
乙酸乙酯、丁酮、丙酮、二氯甲烷、吡啶、硝基甲烷(根據實際情況確定具體檢測對象)
色譜條件與系統適用性試驗以DB-624毛細管柱(30m×0.32mm×1.8μm)(或極性相近的固定液)為色譜柱;柱溫:程式升溫,30℃維持15分鐘,以8℃/min的升溫速率升至120℃,維持8分鐘;檢測器為氫火焰離子化檢測器(FID),檢測器溫度為170℃;進樣口溫度為150℃;載氣為氮氣,流速為1.0ml/min。頂空溫度為80℃,頂空時間為30min,進樣體積為1.0ml。取系統適用性溶液頂空進樣,按正丙醇(內標)、硝基甲烷、丁酮、乙酸乙酯順序出峰,硝基甲烷、丁酮和乙酸乙酯峰間的分離度均應符合規定。
內標溶液的製備取正丙醇適量,用無有機溶劑的水稀釋成每1ml中約含200μg的溶液,作為內標溶液。
系統適用性溶液的製備分別稱取硝基甲烷、丁酮和乙酸乙酯適量,加二甲基亞碸適量使溶解,用內標溶液稀釋成每1ml約含硝基甲烷5μg、丁酮200μg和乙酸乙酯200μg的溶液,量取5ml,置20ml頂空瓶中,密封瓶口,作為系統適用性溶液。
供試品溶液的製備取供試品約0.5g,精密稱定,置20ml頂空瓶中,精密加內標溶液5ml,使溶解,密封瓶口,作為供試品溶液;
對照品溶液的製備分別精密稱取乙酸乙酯、丁酮、丙酮、二氯甲烷、吡啶、硝基甲烷對照品適量,加二甲基亞碸適量使溶解,用內標溶液稀釋成每1ml中含乙酸乙酯200μg、丁酮200μg、丙酮200μg、二氯甲烷24μg、吡啶20μg、硝基甲烷5μg的混合對照品溶液。精密量取混合對照品溶液5ml,置20ml頂空瓶中,密封瓶口,作為對照品溶液。
測定法分別取供試品溶液和對照品溶液頂空進樣,記錄色譜圖,按內標法以峰面積計算,各殘留溶劑含量應符合規定。
甲醇取供試品約0.2g,精密稱定,置20ml頂空瓶中,精密加內標溶液5ml使溶解,密封瓶口,作為供試品溶液。精密稱取甲醇適量,加內標溶液稀釋製成每1ml中含甲醇120μg的溶液,精密量取5ml,置20ml頂空瓶中,密封瓶口,作為對照品溶液。以DB-624毛細管柱(30m×0.32mm×1.8μm)(或極性相近的固定液)為色譜柱;柱溫:程式升溫,30℃維持15分鐘,以8℃/min的升溫速率升至120℃,維持8分鐘;;檢測器為氫火焰離子化檢測器(FID),檢測器溫度為170℃;進樣口溫度為150℃;載氣為氮氣,流速為1.0ml/min。頂空溫度為60℃,頂空時間為30min,進樣體積為1.0ml。分別取供試品溶液和對照品溶液頂空進樣,記錄色譜圖,按外標法以峰面積計算,應符合規定。
可見異物取該品5份,每份約含拉氧頭孢1g,加微粒檢查用水製成每1ml中含拉氧頭孢0.1g的溶液,依法檢查(附錄ⅨH),應符合規定。
不溶性微粒取該品3份,加微粒檢查用水製成每1ml中含拉氧頭孢0.1g的溶液,依法檢查(附錄ⅨC),每1g拉氧頭孢中含10μm以上的微粒不得大於6000個,含25μm以上的微粒不得大於600個。
細菌內毒素取該品,依法檢查(附錄ⅪE),每1mg拉氧頭孢中含內毒素的量應小於0.0125EU。
無菌取該品,加0.9%氯化鈉溶液溶解後,轉移至0.1%無菌蛋白腖水中,製成每1ml中含供試品30mg的供試液,經薄膜過濾法處理,用0.1%無菌蛋白腖水分次沖洗(每膜不少於700ml),以大腸埃希菌為陽性對照菌,依法檢查(附錄ⅪH),應符合規定。
【含量測定】照高效液相色譜法(附錄ⅤD)測定。
色譜條件與系統適用性試驗用十八烷基矽烷鍵合矽膠為填充劑;以0.01mol/L醋酸銨溶液-甲醇(19:1)為流動相;流速為每分鐘1.0ml;柱溫為30℃;檢測波長為254nm。取拉氧頭孢對照品適量,加水溶解並稀釋成每1ml中約含0.25mg的溶液,取上述溶液適量,在80℃水浴中加熱30分鐘,冷卻,量取10μl注入液相色譜儀,記錄色譜圖,拉氧頭孢R異構體、拉氧頭孢S異構體依次流出;拉氧頭孢R異構體和拉氧頭孢S異構體的分離度應不小於4.0,兩主峰與相鄰雜質峰的分離度應符合要求。
測定法取該品適量(約含拉氧頭孢25mg),精密稱定,置100ml量瓶中,加水溶解並稀釋至刻度,搖勻;精密量取10μl注入液相色譜儀,記錄色譜圖;另取拉氧頭孢對照品適量,同法測定,按外標法以峰面積計算供試品中C20H20N6O9S的含量。
【類別】β-內醯胺類抗生素,氧頭孢類
【貯藏】5℃以下,密閉保存
【製劑】注射用拉氧頭孢鈉

