微積分
在微積分中, 拉格朗日中值定理是羅爾中值定理的推廣,同時也是柯西中值定理的特殊情形。
1.文字敘述
拉格朗日定理
拉格朗日定理
拉格朗日定理
拉格朗日定理
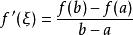
拉格朗日定理如果函式 滿足:1) 在閉區間 上連續;2) 在開區間 內可導;那么在 內至少有一點 ,使等式
拉格朗日定理成立。
2.邏輯語言的敘述
拉格朗日定理若函式 滿足:
拉格朗日定理
拉格朗日定理
拉格朗日定理則
拉格朗日定理
圖1.拉格朗日中值定理的幾何意義3.證明
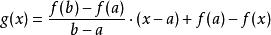
拉格朗日定理令 ,那么
拉格朗日定理
拉格朗日定理1) 在 上連續,
拉格朗日定理
拉格朗日定理2) 在 上可微(導),
拉格朗日定理
拉格朗日定理
拉格朗日定理
拉格朗日定理3 ,由羅爾定理,存在一點 ,使得 。即 。
數論
1.內容
四平方和定理(Lagrange's four-square theorem) 說明每個正整數均可表示為4個整數的平方和。它是費馬多邊形數定理和華林問題的特例。注意有些整數不可表示為3個整數的平方和,例如7。
2.歷史
拉格朗日定理
拉格朗日定理
拉格朗日定理
拉格朗日定理
拉格朗日定理1. 1743年,瑞士數學家歐拉發現了一個著名的恆等式:。根據上述歐拉恆等式或四元數的概念可知如果正整數 和 能表示為4個整數的平方和,則其乘積 也能表示為4個整數的平方和。於是為證明原命題只需證明每個素數可以表示成4個整數的平方和即可。
拉格朗日定理
拉格朗日定理
拉格朗日定理
拉格朗日定理
拉格朗日定理2. 1751年,歐拉又得到了另一個一般的結果。即對任意奇素數 ,同餘方程 必有一組整數解 滿足 , (引理一)。
至此,證明四平方和定理所需的全部引理已經全部證明完畢。此後,拉格朗日和歐拉分別在1770年和1773年作出最後的證明。
群論
拉格朗日定理是群論的定理,利用陪集證明了子群的階一定是有限群的階的約數值。
1.定理內容
拉格朗日定理
拉格朗日定理
拉格朗日定理敘述:設H是有限群 的子群,則 的階整除 的階。
拉格朗日定理
拉格朗日定理
拉格朗日定理
拉格朗日定理
拉格朗日定理
拉格朗日定理
拉格朗日定理
拉格朗日定理
拉格朗日定理
拉格朗日定理
拉格朗日定理
拉格朗日定理
拉格朗日定理
拉格朗日定理
拉格朗日定理
拉格朗日定理定理的證明是運用 在 中的左陪集。 在 中的每個左陪集都是一個等價類。將 作左陪集分解,由於每個等價類的元素個數都相等,都等於 的元素個數( 是 關於 的左陪集),因此 的階(元素個數)整除 的階,商是 在 中的左陪集個數,叫做 對 的指數,記作 。
陪集的等價關係
拉格朗日定理
拉格朗日定理定義二元關係 : 。下面證明它是一個等價關係。
拉格朗日定理1) 自反性: ;
拉格朗日定理
拉格朗日定理
拉格朗日定理2) 對稱性: ,因此 ,因此 ;
拉格朗日定理
拉格朗日定理
拉格朗日定理3) 傳遞性: ,因此 ,因此 。
拉格朗日定理
拉格朗日定理可以證明, 。因此左陪集是由等價關係 確定的等價類。
拉格朗日定理
拉格朗日定理
拉格朗日定理
拉格朗日定理拉格朗日定理說明,如果商群 存在,那么它的階等於 對 的指數 。
拉格朗日定理2.推論
拉格朗日定理
拉格朗日定理
拉格朗日定理
拉格朗日定理由拉格朗日定理可立即得到:由有限群 中一個元素 的階數整除群 的階(考慮由 生成的循環群)。
3.逆命題
拉格朗日定理
拉格朗日定理
拉格朗日定理
拉格朗日定理
拉格朗日定理
拉格朗日定理
拉格朗日定理拉格朗日定理的逆命題並不成立。給定一個有限群 和一個整除 的階的整數 , 並不一定有階數為 的子群。最簡單的例子是4次交替群 ,它的階是12,但對於12的因數6, 沒有6階的子群。對於這樣的子群的存在性,柯西定理和西洛定理給出了一個部分的回答。

