原理概念
折射定律由荷蘭數學家斯涅爾發現,是在光的折射現象中,確定折射光線方向的定律。當光由第一媒質(折射率為 n)射入第二媒質(折射率 n)時,在平滑界面上,部分光由第一媒質進入第二媒質後即發生折射。
實驗指出:
(1)折射光線位於入射光線和界面法線所決定的平面內;
(2)折射線和入射線分別在法線的兩側;
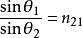
(3)入射角i的正弦和折射角 i′的正弦的比值,對摺射率一定的兩種媒質來說是一個常數。
淺顯的說,就是光從光速大的介質進入光速小的介質中時,折射角小於入射角;從光速小的介質進入光速大的介質中時,折射角大於入射角。
適用範圍
此定律是幾何光學的基本實驗定律。它適用於均勻的各向同性的媒質。用來控制光路和用來成象的各種光學儀器,其光路結構原理主要是根據光的折射和反射定律。此定律也可根據光的波動概念導出,所以它也可套用於無線電波和聲波等的折射現象。
上述光的折射定律只適用於由各向同性介質構成的 靜止界面。
詳細內容
折射定律也稱為斯涅爾定律( Snell's Law)。
光線通過兩介質的界面折射時,確定入射光線與折射光線傳播方向間關係的定律,幾何光學基本定律之一。如圖,入射光線與通過入射點的界面法線所構成的平面稱為入射面,入射光線和折射光線與法線的夾角分別稱為入射角和折射角,以 θ和 θ表示。
折射定律表述為:①折射光線在入射面內。②入射角和折射角的正弦之比為一常數,用 n表示,即
折射定律式中 n稱為第二介質對第一介質的相對摺射率。
相關解釋
用費馬原理解釋
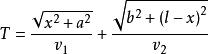
費馬原理又稱為“最短時間原理” : 光線 傳播的路徑是需時最少的路徑。費馬原理更正確的版本應是“平穩時間原理”。對於某些狀況,光線傳播的路徑所需的時間可能不是最小值,而是最大值,或甚至是拐值。例如,對於平面鏡,任意兩點的反射路徑光程是最小值;對於半橢圓形鏡子,其兩個焦點的光線反射路徑不是唯一的,光程都一樣,是最大值,也是最小值;對於半圓形鏡子,其兩個端點 Q、P的反射路徑光程是最大值;又如最右圖所示,對於由四分之一圓形鏡與平面鏡組合而成的鏡子,同樣這兩個點 Q、P的反射路徑的光程是拐值。
假設,介質1、介質2的折射率分別為 n、 n,光線從介質1在點 O傳播進入介質2, θ為入射角, θ為折射角。
從費馬原理,可以推導出斯涅爾定律。通過設定光程對於時間的導數為零,可以找到“平穩路徑”,這就是光線傳播的路徑。光線在介質1與介質2的傳播速度分別為 v= c/ n, v= c/ n。其中, c為真空光速。
由於介質會減緩光線的速度,折射率 n、 n都大於1。
如右圖所示,從點 Q到點 P的傳播時間為
折射定律。
根據費馬原理, 光線傳播的路徑是所需時間為極值的路徑,取傳播時間 T對變數 x的導數,並令其為零。經整理後可得
d T/dx=sin θ/ v-sin θ/ v=0。
將傳播速度與折射率的關係式代入,就會得到折射定律:
nsin θ= nsin θ。
利用光的粒子性解釋
假設對某系統整體做一個 平移 之後,這系統仍舊保持不變,則稱此系統具有 平移對稱性 。從平移對稱性,可以推導出斯涅爾定律。這是建立於 橫向均勻界面不能改變橫向 動量的道理。由於波矢量
折射定律因此, ksin θ= ksin θ。(1)
根據折射率的定義式: n= c/ v= ck/ ω,
其中, ω是光波的角頻率。
將其帶入(1)式,即可得到折射定律: nsin θ= nsin θ。
微觀至原子尺寸,雖然沒有任何界面是完全均勻的,假若精細至光波波長尺寸,傳播區域可以估視為均勻,則平移對稱性仍不失為優良近似。
利用麥克斯韋電磁場理論解釋
幾何光學的三條基礎定律為:
•第一定律:入射波、反射波、折射波的波矢量,與界面的法線共同包含於“入射平面”。
•第二定律:反射角等於入射角。這定律稱為“反射定律”。
•第三定律:這定律稱為“斯涅爾定律”,又稱為“折射定律”。
由於光波是處於某一特定頻段的電磁輻射,因此光必須滿足麥克斯韋方程組與伴隨的邊界條件。其中一條邊界條件為, 在邊界的臨近區域,電場平行於邊界的分量必須具有 連續性。假設邊界為 xOy平面,則在邊界,有
E( x, y,0)+ E( x, y,0)= E( x, y,0)。
其中, E、 E、 E分別為在入射波、反射波、折射波(透射波)的電場平行於邊界的分量。
假設入射波是頻率為 ω的單色平面波,則為了在任意時間滿足邊界條件,反射波、折射波的頻率必定為 ω。設 E、 E、 E的形式為
E= Eexp(i k· r- ωt)、
E= Eexp(i k· r- ωt)、
E= Eexp(i k· r- ωt)。
其中, k、 k、 k分別是入射波、反射波、折射波的波矢量, E、 E、 E分別是入射波、反射波、折射波的波幅(可能是復值)。
為了在邊界任意位置( x, y,0)滿足邊界條件,相位變化必須一樣,必須設定
k x+ k y= k x+ k y= k x+ k y。
因此, k= k= k, k= k= k。
不失一般性,假設 k= k= k= 0,則立刻可以推斷第一定律成立,入射波、反射波、折射波的波矢量,與界面的法線共同包含於入射平面。
從波矢量 x-分量的相等式,可以得到 ksin θ= ksin θ。
而在同一介質里, k= k。所以,第二定律成立,入射角 θ等於反射角 θ。
套用折射率的定義式: n= c/ v= ck/ ω,
可以推斷第三定律成立: nsin θ= nsin θ。
其中, n、 θ分別是折射介質的折射率與折射角。
從入射波、反射波、折射波之間的相位關係,就可以推導出幾何光學的三條基礎定律。
理論發展
最早定量研究折射現象的是公元2世紀希臘人C.托勒密,他測定了光從空氣向水中折射時入射角與折射角的對應關係,雖然實驗結果並不精確,但他是第一個通過實驗定量研究折射規律的人。1621年,荷蘭數學家W.斯涅耳通過實驗精確確定了入射角與折射角的餘割之比為一常數的規律,即
csc θ/csc θ=常數
故折射定律又稱斯涅耳定律。1637年,法國人R.笛卡兒在《折光學》一書中首次公布了具有現代形式正弦之比的規律。與光的反射定律一樣,最初由實驗確定的折射定律可根據費馬原理、惠更斯原理或光的電磁理論證明之。

