公式簡介
技術功技術功是指工程上可以直接利用的機械能 ,用 表示,表達式為
技術功
技術功
技術功
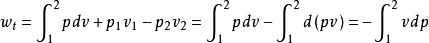
技術功其中, 為軸功, 為開口系統動能增量, 為開口系統位能增量;右邊第一項是工質對機器作的功,後兩項是工質機械能變化。
另一種定義式
技術功的另一種定義式:
技術功
技術功
技術功
技術功其中, 為膨脹功, 為進口推動功, 為出口推動功。
對於可逆過程有:
技術功等號右側負號說明當壓力增高即dp為正時技術功為負,即外界對開口系統作技術功。反之,壓力降低即dp為負時技術功為正,系統對外界作技術功。
技術功的本質及其與其他功的關係
技術功
技術功技術功是內部功,當忽略摩擦時,內部功在數值上等於軸功,所以技術功在本質上就是軸功。從技術功的另一個定義式來看,由於膨脹功和流動功屬於有嚴格區別的不同種類的功,所以從熱轉化為功的根本角度來講,該定義式只是表明了技術功來源於膨脹功扣除流動功之後的部分,也就是說技術功既不是膨脹功,也不是流動功,技術功本身屬於何種類的功,仍然要從定義式來判斷。

