概念
復勢
復勢
復勢
復勢
復勢
復勢
復勢在勢流中,問題一般涉及在適當的邊界條件下解拉普拉斯方程 和 。合適的邊界條件通常是:在無窮遠處流動均勻或為零,和流體不能穿過它所繞流的固體表面。然而,除了對於某些簡單形狀 和 可以解調和方程或直接積分 容易地求得外,在速度已知時,最好用復變數理論和保角變換來確定 和 。
基本原理
複函數
復勢
復勢
復勢在二維問題中,定義一個函式 (稱為復勢)的充要條件是 和 為調和函式及滿足柯西-黎曼方程。複函數定義為:
復勢
復勢
復勢
復勢
復勢
復勢
復勢
復勢
復勢
復勢
復勢
復勢
復勢式中 及 。在複平面 中, 和 形成一個矩形坐標網路。我們考慮 和 是復變數 的函式,以 代替 和 。平面 代表物理流動平面。
一般
復勢
圖1-1
復勢
復勢
復勢
復勢
復勢
復勢
復勢
復勢見圖1-1, 為具有實數部分 和虛數部分 的複數, 可以寫作為 的函式,因此, 的實數部分為 及虛數部分為 。
復勢
復勢
復勢
復勢
復勢
復勢
復勢
復勢
復勢
復勢
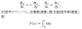
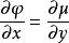
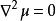
復勢柯西-黎曼條件連同 和 單值及 和 的所有偏導數連續等條件意味著 是可析(或正則)函式。可析函式 是這樣的函式,(1)在一封閉廓線 內為有限值並為單值,及(2)所有導數存在並為單值。一個 的可析函式的實數部分和虛數部分稱為共軛函式並且是調和的。 和 是共軛函式並且我們知道 。
復勢
復勢
復勢
復勢
復勢參照圖1-1, 可以對任意 進行計算。如果我們取 平行於 軸,我們有 及
復勢
復勢
復勢
復勢如果取 平行於 軸,我們有 並且
復勢因此兩個表達式中無論哪一個都可以套用,而且兩者必定相等,因此,我們由令它們的實數和虛數部分分別相等得到柯西-黎曼條件:
復勢
復勢和
復速度
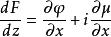
復勢對複函數 微分,我們得到
復勢或
復勢
復勢稱為復速度。
保角變換
復勢
復勢
復勢
復勢
復勢
復勢
復勢
復勢
復勢
復勢
復勢發生運動的物理平面是或平面,在該平面,為常數的線為曲線並且代表流線。在平面中, 和形成正交網路。可以通過一個保持 和正交性質的轉換將流動從平面轉換到另一個平面,比如說平面。這一轉換稱為函式的變換函式。
復勢
復勢
復勢
復勢
復勢
復勢可以看出,一個平面中無限小的三角形可以在保持角度和相似性的條件下變換到平面中的一個相似的無限小三角形。這樣的轉換用於流動的變換;梅卡托投影就是將地球保角變換到一個平面上。如果知道簡單形狀的流型,我們就可以通過選擇合適的形式函式構築複雜形狀的流形。因此,通過方程我們能夠得到描述在平面中更複雜流動的。
套用領域
滿足二元拉普拉斯方程的調和函式u可以看做是某解析函式的實部(或虛部),因此,與拉普拉斯方程的解有關的實際問題,也可轉化為複變函數的問題。這也是複變函數套用的另一重要方面.。由於電流I是電荷流動的速度,類似於流體的速度,因此,與複變函數在流體力學中的套用相似,複變函數也可套用於電動力學。由於平面熱傳導問題溫度的定常分布滿足二元拉普拉斯方程,其解為調和函式,可看做解析函式的實部(或虛部),所以複變函數可套用於熱傳導問題。

