基本介紹
梁要發生平面彎曲,要求梁的橫截面至少有一個對稱軸,全梁至少有一個縱向對稱平面。所有橫向力都作用在這個對稱平面內。對於非對稱薄壁截面梁,為使梁只發生彎曲不扭轉,樑上的橫向外力所在的縱向平面就必須通過某一點,這一點稱為 彎曲中心,或 剪下中心 。
圖1彎曲中心位置特點
彎曲中心的位置取決於截面的幾何形狀和大小,彎曲中心的位置有如下特點(表1)。
(1) 具有對稱軸或反對稱軸的截面,其彎曲中心與形心重合。
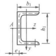
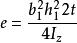
(2) 有一個對稱軸的截面,其彎曲中心必在此對稱軸上。
(3) 若薄壁截面的中心線是由相交於一點的若干直線所組成,則此交點就是截面的彎曲中心 。
| 項次 | 1 | 2 |
| 截面形狀 | 彎曲中心 | 彎曲中心 |
| 彎心A的位置 | 與形心重合 | 彎曲中心 |
| 項次 | 3 | 4 |
| 截面形狀 | 彎曲中心 | 彎曲中心 |
| 彎心A的位置 | 彎曲中心 | 在兩個狹長矩形中線的交點 |
| 項次 | 5 | 6 |
| 截面形狀 | 彎曲中心 | 彎曲中心 |
| 彎心A的位置 | 在兩個狹長矩形中線的交點 | 與形心重合 |
例題分析
【例1】就正應力強度而言,下圖所示的梁,以下哪個圖所示的載入方式最好? ( )
解:梁的彎曲正應力的最大值與梁的最大彎矩有關,由彎矩圖可見選項D的最大彎矩較小。故應選D 。
彎曲中心 | 彎曲中心 |
彎曲中心 | 彎曲中心 |
【例2】矩形截面梁橫力彎曲時,截面中性軸處正應力和切應力正確的是( )。
A.正應力最大,切應力等於零 B.切應力最大,正應力等於零
C.正應力最大,切應力最大 D.正應力等於零,切應力等於零
正確答案: B。
解:由截面上正應力和切應力的分布規律可知,中性軸上正應力等於零,切應力最大。
【例3】受橫向力作用時,若要求梁只產生平面彎曲而不發生扭轉,則橫向力作用的條件是( )。
A.作用面與形心主慣性面重合 B.作用面與形心主慣性面平行
C.通過彎曲中心的任意平面 D.通過彎曲中心,平行於主慣性平面
正確答案: D。
解:對於非對稱的薄壁截面梁,若要求梁只產生平面彎曲而不發生扭轉,則外力通過彎曲中心,且平行於主慣性平面。
注意:對於有對稱軸的截面梁,要發生平面彎曲,所有橫向力都必須作用在這個對稱軸所組成的縱向對稱平面內 。

彎曲中心
彎曲中心
彎曲中心
彎曲中心
彎曲中心
彎曲中心
彎曲中心
彎曲中心
彎曲中心
彎曲中心
彎曲中心
彎曲中心 