簡介
強穩定性是一種較強的穩定性質。
強穩定性
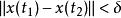
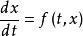
強穩定性如果對任給 ε>0 ,存在 δ(ε)>0 ,使得只要,便有,稱解 x(t) 是強穩定的。
如果能證明有有界解是強穩定的,那么它就是概周期解;反之,在微分方程滿足標準假設時,方程的任何概周期解都是強穩定的。
可繼承性
(inherited property)
可繼承性是關於一致概周期微分方程解的一種重要性質。
強穩定性
強穩定性
強穩定性如果一致概周期微分方程的解 φ(x) 相對於其他解具有性質 P ,若, 而ψ(t) 相對於的解也具有性質 P ,則稱性質 P 是可繼承的。也就是說,若解φ(x)具有可繼承的性質 P ,那么,性質 P 在運算元 T的作用下是自封的。
通常往往利用有界解的某些穩定性質來建立有界解的概周期性,諸如一致穩定、一致漸近穩定、完全穩定或殼擾動下的穩定等,這些穩定性質在方程滿足標準假設時都是可繼承的。

