簡介
強性逼近是源於級數強性求和的一種逼近。
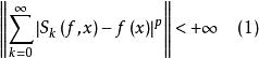
強性逼近設為f 的傅立葉級數的前 n+1 項之和,20世紀60年代,亞歷克西茨首先考慮當n→∞時,量
強性逼近的階與 f(x) 的構造性之間的關係問題,此即所謂強性逼近問題。
套用
強性逼近一些結果表明,某些逼近定理是可以強化的,例如對於,則費耶爾和的逼近定理
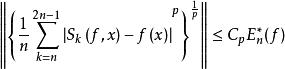
強性逼近可以強化為
強性逼近瓦萊·普桑和逼近定理可以強化為
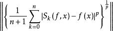
強性逼近
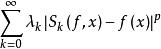
強性逼近這裡 p>0,C是僅與 p 有關的正數,是n階三角多項式對f的最佳逼近值。至於逆命題,則有:對p≥1,
強性逼近
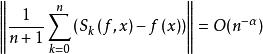
強性逼近而對0<p<1,則有僅與p有關的正數C,使得
另一定義
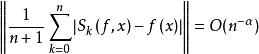
強性逼近強性逼近的另一種問題是對於正數列,考慮
強性逼近的收斂性與函式f 的構造性之間的關係。
例如,當p>1時,由不等式
強性逼近
強性逼近
強性逼近
強性逼近可推出,而當 0<p≤1是,如記(1/p)=r+α,其中r≥0為整數,0≤α<1,則當0<α<1時,由不等式(1)可推出;當α=0時,由不等式(1)可推出 是亞光滑函式,即有常數C>0,使得對一切 x和h都有
強性逼近
