基本介紹
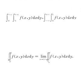
若積分區域D是個無界集,這時的重積分稱為 廣義積分,譬如
廣義重積分
廣義重積分
廣義重積分等等都是廣義積分,廣義積分的定義是先在D的一個有界部分D上積分,當r→+∞時要求D逐步變大,最後充滿整個D,的極限定義為廣義積分,即
廣義重積分相關說明
廣義重積分的兩點說明:
(1)D的取法中要求D—D與原點的距離隨r→+∞而趨於+∞;
(2)要求在一切不同D的取法下,有同一個極限,否則仍稱為發散或不可積。
但當f(x,y)≥o時,只要特別取一組D就夠了 。
廣義重積分
廣義重積分
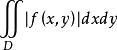
廣義重積分還有另一類型的廣義積分,這時積分區域D可能有界,但f(x,y)在D內某點的任何鄰域無界(這時點稱為奇點),或者在某條曲線上都是奇點(稱奇線),這時也稱為廣義積分,其定義不外乎先去掉奇點(奇線)某個鄰域後先積分,再令該鄰域收縮到奇點(奇線),若積分存在極限,則稱 廣義積分存在或 收斂或 可積。
廣義重積分
廣義重積分
廣義重積分與一元廣義積分不同的是廣義重積分(重數≥2)可積必絕對可積(注意“絕對可積”這句術語包含兩層意思:本身可積且也可積,將“絕對可積”誤解為僅僅絕對值積分收斂,這是錯誤的)。
廣義重積分
廣義重積分
廣義重積分
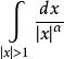
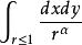
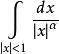
廣義重積分對一重積分我們已知積分收斂(奇點x=0);收斂(奇點x=±∞)。
廣義重積分對二重積分,則有():
廣義重積分
廣義重積分收斂(奇點(0,0));
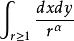
廣義重積分
廣義重積分收斂(奇點r=+∞),
這用極坐標變換可證明,對類似的三重積分,只要將上面的“2”改為“3”,同樣,可類推到n重積分 。

