基本介紹
古典解中對解的光滑性要求太強了,而為了使解能滿足這樣的光滑性,又要對定解問題中的初值、邊值、係數、非齊次項等加上很強的光滑性。從物理上看,這些條件似乎過於人為,在具體套用時,帶來一定的束縛。甚至有些物理上提出的很簡單的定解問題,在嚴格的古典解定義下都是無解的。因此,必須放鬆對解的光滑性的要求,擴大定義解的函式類.擴大了解的函式類以後得到的解稱為 廣義解。
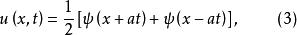
許多描述實際物理現象的偏微分方程定解問題不可能有經典解。例如,當ψ∈C (R)時,弦振動方程柯西問題
廣義解
廣義解有唯一解
廣義解如果弦的初始狀態呈折線,即ψ(x)連續但在一些點上沒有導數,則由(3)給出的u(x,t)只在ψ有二階導數的那些點上滿足方程(1),它不是柯西問題(1),(2)在經典意義下的解,但它卻是在初始狀態(1)下弦的真實物理狀態,因此稱它為柯西問題(1),(2)的廣義解。
定義廣義解的方法
對不同的偏微分方程定解問題(甚至對同一定解問題),可以有不同的廣義解定義,但它們都是經典解的推廣,因此,經典解必定是廣義解,現代定義廣義解的方法主要有兩種:一種是將經典解序列在某個函式空間中的極限定義為廣義解,稱為 強解;一種是通過所給偏微分運算元的共軛(伴隨)運算元來定義廣義解,稱為 弱解。
定義廣義解的原則
具體定義廣義解的方式有很多種,通常有兩個原則:
(1)古典解必是廣義解;
(2)廣義解是唯一的,且按某種度量連續依賴於定解數據。
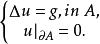
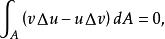
例如考慮泊松方程的狄利克雷向題
廣義解
廣義解
廣義解
廣義解
廣義解如果存在一個函式(表示函式絕對值的p次方在勒貝格積分的意義下可積的函式類),對於所有的都有則稱u為原定解問題的L'-弱解。L'-弱解是一種重要的廣義解 。
廣義解稱為古典解的推廣,自然應滿足以下三點:
(1) 古典解必為廣義解;
(2) 當廣義解具有古典解所要求的光滑性時,則它一定是古典解;
(3) 廣義解是適定的 。

