歷史上比較著名的康托(Cantor)定理,大致有下列三個:
康托定理1:閉區間上的連續實函式是一致連續的。
康托定理2:一個集合本身的勢嚴格小於其冪集的勢。
康托定理3:如果一個全序集是可列集,且是稠密的,無最大和最小值的,則它一定和有理數集序同構。
定理
康托定理
康托定理
康托定理若函式在閉區間上連續,則它在上一致連續。
康托定理
康托定理
康托定理
康托定理
康托定理
康托定理
康托定理
康托定理
康托定理
康托定理設函式在區間上定義,則在上一致連續的充分必要條件是:對任何點列和,只要滿足,就成立。
康托定理
康托定理
康托定理
康托定理
康托定理
康托定理函式在有限開區間連續,則在上一致連續的充分必要條件是與存在。
證明
採用反證法。
康托定理
康托定理
康托定理
康托定理
康托定理
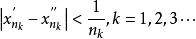
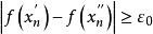
康托定理假設在上非一致連續,由非一致連續定義可知存在及兩點列和,,滿足
康托定理
康托定理
康托定理,且。
康托定理
康托定理因為有界,由Bolzano-Weierstrass定理,存在收斂子列:
康托定理
康托定理
康托定理
康托定理
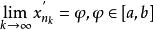
康托定理在點列中取子列,其下標與下標相同,則由,又得到
康托定理
康托定理
康托定理由於函式在點連續,因而有
康托定理於是得到:
康托定理
康托定理
康托定理
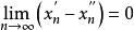
康托定理但這與假設產生矛盾,從而推翻假設,得到在上的一致連續的結論。
開區間上連續但非一致連續的例子
康托定理
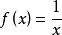
康托定理例:在上連續,但非一致連續。
康托定理
康托定理
康托定理
康托定理
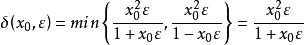
康托定理證:對於任意給定的,,我們通過精確地解出,來說明不存在適用於整個區間的。
康托定理
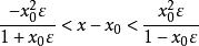
康托定理對任意,關係式 即為
康托定理它等價於
康托定理即
康托定理由此得到
康托定理
康托定理顯然,這就是。
康托定理
康托定理
康托定理
康托定理
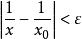
康托定理
康托定理但是當時,,換言之,不存在對區間中一切點都適用的,因此在上非一致連續。

