庫侖散射
正文
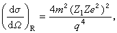
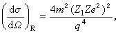
帶電粒子穿過物質時,在原子核的庫侖場作用下發生偏轉的現象。記入射帶電粒子的質量為m,電荷為Z1e,速度為v,動量為p,能量為E。對於入射粒子的自鏇為0,且被非常重的自鏇為0,電荷為Ze的原子核散射的情況,E.盧瑟福利用玻恩公式的一級近似,且假定二者都是點粒子,算出散射微分截面為


N.F.莫脫進一步計算了自鏇為1/2,電荷為e的粒子(如電子)被自鏇為0的重核散射,得到微分截面為


帶電粒子穿過物質時,在原子核的庫侖場作用下發生偏轉的現象



多次接續發生的庫侖散射為多次庫侖散射。多次庫侖散射後帶電粒子的淨偏轉角近似地正比於該粒子的電荷,反比於其動量p與速度v的乘積pv。在核乳膠及重液泡室中,...
多次庫侖散射 配圖 相關連線"記入射帶電粒子的質量為 對於入射粒子的自鏇為0
非相干散射探測是指電波在電離層中由於受到準平衡電子密度隨機熱起伏影響而引起散射,接收這種能量從而獲取電離層物理參數的電離層探測方法,稱為非相干散射探測。
非相干散射探測 介紹 原理 配圖 相關連線載流子的散射是屬於半導體的主要散射機構之一包括電離雜質散射,晶格振動的散射和其他因素引起的散射等,載流子之間也有散射作用不過只有在強簡式才明顯。
但是因為電子質量很小,而且a粒子和電子的碰撞近似為完全彈性碰撞(因為這種碰撞能量很小,不會發生能級間的躍遷),根據動量守恆和能量守恆可以知道,a粒子速度...
查爾斯·庫侖於1785年發現,因而命名的一條物理學定律。庫侖定律是電學...是在觀測者的參考系中靜止,中學計算一般不做要求)驗證庫侖扭秤庫侖定律是1784--1785年間庫侖通過扭秤實驗總結出來的。紐秤的結構如下:在細...
簡介 成立條件 驗證 公式 物理意義散射公式。 1.α粒子散射理論 (1)庫侖散射偏轉角公式 設...散射偏轉角公式。 (2)盧瑟福散射公式 在上述庫侖散射偏轉公式中有...登(E.Marsden)在做α粒子和薄箔散射實驗時觀察到絕大部分α粒子...
簡介 實驗原理以及量子力學和經典力學過渡關係的重要領域。特徵和現象兩種散射,弱局域電性...環中運動的電子,由於電子在導線中運動時受到各種散射,電子在比圓環尺寸小得多...)。雖然,對每一個電子的散射是波的散射,但是由於雜質的分布是無規則的,所以一般...
簡介 特徵和現象和介觀物理的一些新的物理現象。(一)兩種散射,弱局域電性我們都知道...電子在導線中運動時受到各種散射,電子在比圓環尺寸小得多的尺度上就已經...的散射是波的散射,但是由於雜質的分布是無規則的,所以一般不考慮散射波之間...
簡介 物理學