公式定義
幾何級數
幾何級數如果一列數,從第一項 開始,以後毎一項都是它前一項乘上一個固定數 ,即
幾何級數
幾何級數
幾何級數
幾何級數因為該數列毎相鄰兩項之比 保持不變,故稱之為等比數列,而為公比。
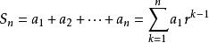
如果等比數列中各項依次相加,即
幾何級數我們便稱其為等比級數(或幾何級數)。
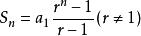
求和方法
等比級數可按以下方法求和:
幾何級數
幾何級數兩式相減得到:
幾何級數斂散性
幾何級數
幾何級數
幾何級數
幾何級數當時,,因此,此時等比級數收斂。
幾何級數
幾何級數
幾何級數當時,,因此,此時等比級數發散。,
幾何級數
幾何級數
幾何級數當時,,,此時等比級數發散。
幾何級數
幾何級數
幾何級數當時,,所以不存在,等比級數發散。

