學說內容
馬爾薩斯人口原理是以議論人具有食慾和性慾這兩個“本性” 開始的。其主要內容可以用“兩個前提、三個定理”來概括。
兩個前提
一, 食物是人類生存所必需的;
二, 兩性間的情慾是必然的,而且幾乎會保持現狀。從這兩個“人類本性的固定法則” 出發,可以得出一個最基本的經濟比例:食物或生活資料的增長與人口的增殖之間的關係。馬爾薩斯說, 人口的增殖比生活資料增長的要快,人口是按幾何級數增長的,而生活資料則只按算術級數增長。
但是,馬爾薩斯並不認為這兩個級數就是人口規律的反映,他提出,保持兩個級數平衡的唯一出路就是抑制人口的增長。他把所謂支配人類命運的永恆的人口自然法則, 歸納成以下三個定理。
三個定理
第一點是人口的制約原理, 說明人口與生活資料之間必然存在某種正常的比例, 即“人口的增長, 必然要受到生活資料的限制”;
第二點是人口的增殖原理, 即“生活資料增加, 人口也常隨著增加”;
第三點是馬爾薩斯人口原理的核心, 稱之為人口的均衡原理, 即“占優勢的人口繁殖力為貧困和罪惡所抑制,因而使現實的人口得以與生活資料保持平衡”。這個原理與前兩個原理是緊密相連的,它說明人口與生活資料之間最終將實現均衡, 但是這種均衡不是自然實現的,而是種種“抑制”的產物。
馬爾薩斯認為, 動植物的生長繁衍因為空間和滋養物的缺乏會受到抑制, 人類的生長繁衍則會因為食物的缺乏而受到抑制。但是人類的抑制分為預防抑制和積極抑制兩種。預防抑制主要是道德的抑制,即考慮到無力負擔家庭而不結婚或者推遲結婚(馬爾薩斯反對墮胎和避孕)。起決定性作用的只要是積極抑制, 即戰爭、瘟疫、繁重勞動、貧困、饑荒等等, 災難會縮短生命, 恢復被破壞的平衡。他認為, 人世間的一切災難都是人口與生活資料均衡過程中的產物, 人類的發展也必然與災難始終相伴。因此, 馬爾薩斯也被視為對人類社會前景極度悲觀的人口學家。
從人口原理出發,馬爾薩斯還做出了以下幾方面的推論:
第一, 平等制度不可能實現。他抨擊社會改良派建立平等制度的主張, 認為這種制度既是不理想的, 又是不現實的, 理由是: 平等狀態不適應於刺激人類努力上進, 難以克服人類好逸惡勞的惡習; 因為人口增長總是快於消費資料的增長, 經過一段時間一部分人必然要喪失生活資料,平等即被打破了。他認為不平等的制度才符合自然法則,才能最好的發揮人的能力和智慧,最有利於人類品德的鍛鍊和改進。
第二,濟貧法的作用適得其反。馬爾薩斯認為,貧民是貧困的原因,擺脫貧苦的唯一方法是讓大自然發揮“抑制” 的作用, 強制地實現人口與事物的平衡。1834年, 英國政府根據馬爾薩斯的思想撤銷了1601年以來的舊濟貧法, 並制定了一項新濟貧法, 新濟貧法規定: 取消一切對窮人的金錢和實物救濟,讓貧民到習藝所進行沉重的勞動。
馬爾薩斯人口增長模型
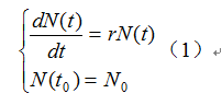
馬爾薩斯生物總數增長定律指出:在孤立的生物群體中,生物總數N(t)的變化率與生物總數成正比,其數學模型為
馬爾薩斯人口方程其中r為常數. 方程(1)的解為
馬爾薩斯的人口理論因此,遵循馬爾薩斯生物總數增長定律得任何生物都是隨時間按指數方式增長,在此意義下,馬爾薩斯方程(1)又稱指數增長模型。人作為特殊的生物總群,人口的增長也應滿足馬爾薩斯生物總數增長定律,此時的(1)式稱為馬爾薩斯人口方程。
英國人口學家馬爾薩斯根據百餘年的人口統計資料,於1798年提出了人口指數增長模型。
根據國家統計局1990年10月30日發布的公告,1990年7月1日我國人口總數為11.3368億,今年的人口平均增長率為14.8‰. 假設人口的增長率保持不變,那么2000年我國的人口數量將達到13.45億。
馬爾薩斯的人口理論事實上,2000年我國人口數量與全國第五次人口普查公報公布的12.9533億,相差較大。
所得出的結論
馬爾薩斯根據上述基本觀點引申出幾點結論:
①貧困和罪惡是人口規律作用的結果,而不是社會經濟和政治制度造成的。
②只有私有制才能消除人口的過快增長。
③工人的工資受人口規律的支配,工資水平隨人口的增減而變動。
④濟貧法促使人口增長。
以上結論充分體現了馬爾薩斯人口論為資本主義制度辯護的本質。該理論以土地報酬遞減規律為基礎,認為由於土地報酬遞減規律的作用,食物生產只能以算術級數增長,趕不上以幾何級數增長的人口需要,並認為這是“永恆的人口自然規律”。過去發生的事情將來還可能發生;人口的增長會受到貧困或其他困苦因素的遏制,除非我們以資源節制的方式,並且要過道德清白的生活,力戒早婚。馬爾薩斯人口論的錯誤在於拋開了社會制度,抽象地從生物屬性和脫離現實的假設來說明人口規律。
影響與傳播
1766年,馬爾薩斯出生在英國薩里郡多金附近。他就讀於劍橋大學耶穌學院;是一位優秀的學生。他畢業於1788年,同年被委任為英國國教牧師。1791年他獲得碩士學位,1793年成為耶穌學院的一名牧師。
馬爾薩斯的名著第一版本最初發表時沒有署名,但是由於擁有廣泛的讀者,使他一鳴驚人。這部名著的較長版本發表於五年後的1803年。這部書經過反覆修訂和增補,1826年出版問世。 1804年馬爾薩斯結婚,當時他已經38歲了。1805年他被任為海利伯利東印度公司學院歷史和政治經濟學教授,他在餘生中一直擔任此職。馬爾薩斯還寫過幾本經濟學論著,其中最重要的是《政治經濟學原理》(1802年)。該書影響了後來的經濟學家,特別是二十世紀的重要人物約翰·海納德·凱斯。馬爾薩斯晚年享有很多榮譽。1834年他在美國巴斯去世,終年六十八歲。他的三個孩子有兩個在他死後還活著,他沒有孫子和孫女。
由於在馬爾薩斯去逝很久以後避孕法才普遍使用,所以時常有人提出馬爾薩斯沒有真正的影響。我認為這種看法是不正確的。第一,馬爾薩斯的思想對也許是十九世紀最有影響的兩位思想家——查理·達爾文和卡爾·馬克思都有著強烈的影響。第二,雖然新馬爾薩斯主義者的政策並未直接被大多數人所採用,但是他們的建議卻未受到忽略,他們的思想永未枯竭。今日的節育運動是馬爾薩斯在自己生活的時代中所倡導的運動的繼續。 在其他方面治理有方的國家有可能會吃人口過剩的苦果,最先提醒人們注意這一問題的並不是馬爾薩斯。這一問題在以前就被其他幾位哲學家提出來過。馬爾薩斯自己就指出柏拉圖和亞里士多德都探討過這個問題。實際上他摘章截句地引用過亞里士多德的話:“……如果在一般國家中每個人都有想生多少孩子就生多少孩子的自由,其必然的結果肯定就是貧困。” 但是即使馬爾薩斯的基本思想並不完全新穎獨特,人們也不應該低估他的重要性。柏拉圖和亞里士多德只不過是隨便提到了這種思想,而他們有關這個論題的簡短評說大體上被忽略了。是馬爾薩斯詳盡地闡述了這種思想,並廣泛地為這個課題大寫文章;更重要的是,馬爾薩斯首次強調人口過剩問題的極其重要性,並使其引起了知識界的注意。

