概述
在微分幾何中,一個曲面 S 的平均曲率(mean curvature)H,是一個“外在的”彎曲測量標準,局部地描述了一個曲面嵌入周圍空間(比如二維曲面嵌入三維歐幾里得空間)的曲率。
定義
令p是曲面S上一點考慮S上過p的所有曲線Ci。每條這樣的Ci在p點有一個伴隨的曲率Ki在這些曲率Ki中,至少有一個極大值κ1 與極小值κ2這兩個曲率κ1,κ2稱為S的主曲率。
的平均曲率是兩個主曲率的平均值(斯皮瓦克 1999, 第3卷,第2章),由歐拉公式其實也是所有曲率的平均值[3],故有此名。

這裡 E,F,G 是第一基本形式的係數,L,M,N 為第二基本形式的係數。
平均曲率可推廣為更一般情形 (斯皮瓦克 1999, 第4卷,第7章),一個超曲面 T 的平均曲率為:

更抽象地說,平均曲率是第二基本形式(或等價地,形運算元)的跡
。
另外,平均曲率 H 可以用共變導數
寫成

這裡利用了高斯-Weingarten 關係,X(x,t) 是一族光滑嵌入超曲面,
為單位法向量,而gij 是度量張量。
一個曲面是極小曲面若且唯若平均曲率為零。此外,平面 S 平均曲率滿足一個熱型方程稱為平均曲率流方程。
3 維空間中曲面
對 3 維空間中的曲面,平均曲率與曲面的單位法向量相關:

這裡法向量的選取影響曲率的正負號。曲率的符號取決於法向量的方向:如果曲面“遠離”法向量則曲率是正的。上面的公式對 3 維空間中任何方式定義的曲面都成立,只要能夠計算單位法向量的散度。
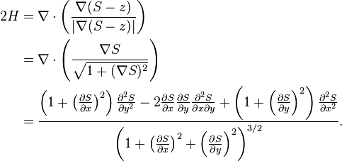
對曲面是兩個坐標的函式定義的曲面,比如 z = S(x,y),使用向下的法向量平均曲率(的兩倍)表示為

如果曲面還是軸對稱的,滿足 z = S(r),則

流體力學
在流體力學中使用的另外一種定義是不要因子 2:

這出現於楊-拉普拉斯方程中,平衡球狀小滴內部的壓力等於表面張力乘以 Hf;兩個曲率等於小滴半徑的倒數 κ1 = κ2 = r ^-1。
極小曲面
Costa 極小曲面示意圖
平均曲率一個極小曲面是所有點的平均曲率為零的曲面。經典例子有懸鏈面、螺鏇面、Scherk 曲面與 Enneper 曲面。新近發現的包括 Costa 極小曲面(Costa's mimimal surface,1982年)與 Gyroid(Gyroid,1970年)。
極小曲面的一個推廣是考慮平均曲率為非零常數的曲面,球面和圓柱面就是這樣的例子。Heinz Hopf 的一個問題為是否存在曲率為非零常數的非球面閉曲面。球面是惟一具有常平均曲率且沒有邊界或奇點的曲面;如果允許自交,則存在平均曲率為非零常數的閉曲面,Wente 在1986年曾構造出這樣的自交環面(陳維桓 2006, 4.6節)。
參見
注釋
Dubreil-Jacotin on Sophie Germain
Curvature in the Calculus Curriculum
關於角度的平均值。
參考文獻
斯皮瓦克, 麥可 (1999), A comprehensive introduction to differential geometry (Volumes 3-4) (3rd ed.), Publish or Perish Press, ISBN 0-914098-72-1 (Volume 3), ISBN 0-914098-73-X (Volume 4).
陳維桓 (2006), 微分幾何, 北京大學出版社, ISBN 7-307-10709-9

