定義
平均指數是編制總指數的另一種常用的形式,它是以個體指數為基礎,通過對個體指數加權平均計算的總指數。根據計算公式的不同,分為加權算術平均指數,加權調和平均指數兩張。
編制方法
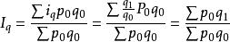
1.用綜合指數變形權數編制
如已掌握了各種商品銷售量的個體指數和基期的各種商品的實際銷售額資料時,就可以用q0p0為權數,對產品個體指數按加權算術平均指數形式,編制商品銷售量總指數。
平均指數法2.用固定權數編制
為了計算上的方便,加權算術平均指數也可以用固定權數(W)編制,我國商品零售物價指數(RPI),居民消費價格指數(CPI)都是固定權數按加權算術平均指數公式計算的。
平均指數法優點
平均指數既適合用於全面的資料,也適合用於非全面的資料。
平均指數既可以作為綜合指數的變形加以套用外,還可以通過總指數表明複雜總體的變化方向和程度進行因素分析。
1.平均指數既適合用於全面的資料,也適合用於非全面的資料。
2.平均指數既可以作為綜合指數的變形加以套用外,還可以通過總指數表明複雜總體的變化方向和程度進行因素分析。
