基本方法
移動平均法只是利用過去一部分序列來進行預測的,而且用的是算術平均值,即認為起作用的數據點對未來預測值起同等作用。這是不太合理的。為了彌補這些缺點,就產生了指數滑動平均法。指數滑動平均法是時間序列預測中的一種重要方法,也是一種簡單而有效的預測手段 。
指數滑動平均法是對整個時間序列進行加權平均的一種方法。加權平均就是每一個已知數據都對未來值貢獻一部分力量。
指數滑動平均法
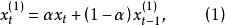
指數滑動平均法 已知一個時間序列 ,它的一次加權平均值 為:
指數滑動平均法
指數滑動平均法 其中; 為加權係數。
指數滑動平均法 若令 ,通過數學論證,則有
指數滑動平均法
指數滑動平均法
指數滑動平均法 其中: 為第t周期的一次指數平滑值, 為加權係數。
指數滑動平均法 以一次指數平滑值為新的時間序列,再一次進行指數平滑,就可得二次指數平滑值 。 ·
指數滑動平均法 如果統計數據有線性變化趨勢,則線性平滑預測公式為:
指數滑動平均法
指數滑動平均法
指數滑動平均法
指數滑動平均法 其中: 為 周期的預測值; 為乎滑係數。
指數滑動平均法 通過對具有線性關係的數據點進行分析,可以求出平滑係數。
指數滑動平均法
指數滑動平均法
指數滑動平均法
指數滑動平均法 其中:為t周期的一次指數平滑值,為t周期的二次指數平滑值。
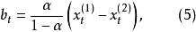
指數滑動平均法 在運用公式(3)進行預測時,需要注意兩個問題,一是加權係數的選取,一是初始值的估算。
加權係數
在平滑值公式(1),(2)中,相當於:
指數滑動平均法
指數滑動平均法 平滑值=(新數據)+()(原平滑值)
指數滑動平均法
指數滑動平均法
指數滑動平均法
指數滑動平均法
指數滑動平均法 因為原平滑值與舊數據有關,所以加權係數是新舊數據在平滑中的分配比值。取值的大小,實際上體現了不同時期的數據在預測中所起的不同作用。越大,新數據所起的作用也就越大。若過大,適應新水平過快,靈敏度高,容易對異常現象過敏,過小,比較保守,容易落後於新的發展趨勢。
指數滑動平均法
指數滑動平均法
指數滑動平均法
指數滑動平均法 掌握好值,是用好平滑法預測的重要環節。一般多採用幾個值計算,進行多方案分析。根據實際預測經驗,一般取值在0.01~0.30之間,在實際計算中,可取0.30,0.20、0.10、0.05等幾個數值。
初始值
由(1)式可知,當t=1時,則有
指數滑動平均法
指數滑動平均法 同理:
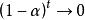
指數滑動平均法 已知統計數據點數是從1開始的,所以分別為一,二次指數平滑值的初始值。·
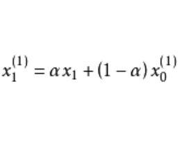
指數滑動平均法 指數平滑值就是加權平均值,值的加權作用可用下式說明:
指數滑動平均法
指數滑動平均法 其中:
指數滑動平均法 所以
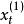
繼續以同樣的方式推導,可得
指數滑動平均法
指數滑動平均法
指數滑動平均法
指數滑動平均法
指數滑動平均法 由(6)式可以看出,指數平滑值就是加權平均值,時間越遠,各期加權係數值就越小,值對較遠數據的加權作用很小。因為,當時,。
指數滑動平均法 當數據點較多時,如t>10,初始值的作用很小,可以取
當數據點較少時,如t

