定理
整數帶餘除法定理
帶餘除法
帶餘除法
帶餘除法
帶餘除法
帶餘除法
帶餘除法設,這裡設 ,且 ,存在唯一的整數對 ,使 ,其中 。這個定理稱為整數帶餘除法定理,是初等數論的基礎。
證明:
易得b<0時,與b>0時證明類似,此處為了簡明,僅證明b>0的情況。
【存在性】
帶餘除法令 ([x]表示不超過x的最大整數)
帶餘除法∵
帶餘除法∴
帶餘除法∴
帶餘除法此時,令
帶餘除法則 存在,證畢。
【唯一性】
帶餘除法
帶餘除法設 是滿足 的另一對整數,因為
帶餘除法,
於是
帶餘除法故
帶餘除法
帶餘除法
帶餘除法
帶餘除法
帶餘除法由於 及 都是小於 的非負整數,所以
帶餘除法
帶餘除法
帶餘除法
帶餘除法因為 ,則 , ,故 ,假設不成立
帶餘除法∴
唯一性證畢
多項式帶餘除法定理
帶餘除法
帶餘除法
帶餘除法
帶餘除法任意非零多項式 除 ,其商式餘式一定存在,且餘式是惟一滿足關係式 的零多項式,或次數小於 的一個多項式。
多項式除以多項式
多項式除以多項式一般用豎式進行演算
(1)把被除式、除式按某個字母作降冪排列,並把所缺的項用零補齊;
(2)用被除式的第一項除以除式的第一項,得商式的第一項;
(3)用商式的第一項去乘除式,把積寫在被除式下面(同類項對齊),消去相等項,把不相等的項結合起來;
(4)把減得的差當作新的被除式,再按照上面的方法繼續演算,直到餘式為零或餘式的次數低於除式的次數時為止。被除式=除式×商式+餘式。如果一個多項式除以另一個多項式,餘式為零,就說這個多項式能被另一個多項式整除
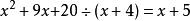
帶餘除法例如:計算
解:
帶餘除法
帶餘除法
帶餘除法
帶餘除法所以,, 其中,商式是,餘式是
套用
輾轉相除法求最大公因式
帶餘除法
帶餘除法
帶餘除法顧名思義,輾轉相除法就是反覆進行帶餘除法。它以帶餘除法為基礎,是用以求兩個多項式 、 的最大公因式 的一種計算方法。
帶餘除法
帶餘除法它的理論依據是:若 ,則有
帶餘除法
帶餘除法
帶餘除法
帶餘除法
帶餘除法例如,對於任意的整數 ( ),且 ,求 的最大公約數
帶餘除法
帶餘除法
帶餘除法
帶餘除法, , ,
帶餘除法餘數定理
帶餘除法
帶餘除法
帶餘除法
帶餘除法用一次多項式 去除多項式 ,即 ,其中
帶餘除法
帶餘除法
帶餘除法
帶餘除法
帶餘除法
帶餘除法例:一個多項式 ,當它能被 除時餘式為 3 ,被 除時餘式為 ,則當 被 除時餘式為何?
解:依題意,有:
帶餘除法(1)
帶餘除法(2)
帶餘除法
帶餘除法
帶餘除法把 代入(1) 式中, ,得
帶餘除法
帶餘除法
帶餘除法
帶餘除法把餘數定理逆過來用,當用 去除 時,由於 ,有 (3)
帶餘除法將(3)代入(1)中,
帶餘除法
帶餘除法
帶餘除法即 被 除餘式為
整除性問題
帶餘除法理論依據 是:
帶餘除法
帶餘除法例:用帶餘除法求當 為何值時,
解:作帶餘除法。
帶餘除法
帶餘除法
帶餘除法除 的餘式
帶餘除法
帶餘除法
帶餘除法故 且 ,解得:
