術語簡介
布氏硬度(HB)一般用於材料較軟的時候,如有色金屬、熱處理之前或退火後的鋼鐵。
布氏硬度(HB)是以一定大小的試驗載荷,將一定直徑的淬硬鋼球或硬質合金球壓入被測金屬表面,保持規定時間,然後卸荷,測量被測表面壓痕直徑。
布氏硬度值是載荷除以壓痕球形表面積所得的商。一般為:
布氏硬度
布氏硬度以一定的載荷將一定大小的淬硬鋼球壓入材料表面,保持一段時間,去載後,負荷與其壓痕面積之比值,即為布氏硬度值(HB),單位為公斤力/(N/)。
測試載荷與測試鋼球的直徑需根據材料的實際性能再確定。
硬度範圍
布氏硬度範圍為8~650HBW。
布氏硬度計由於金屬材料有硬有軟,被測工件有厚有薄,有大有小,如果只採用一種標準的試驗力F和壓頭直徑D,就會出現對某些工件和材料的不適應的現象。
因此,在生產中進行布氏硬度試驗時,要求能使用不同大小的試驗力和壓頭直徑,對於同一種材料採用不同的F和D進行試驗時,能否得到同一的布氏硬度值,關鍵在於壓痕幾何形狀的相似,即可建立F和D的某種選配關係,以保證布氏硬度的不變性。
對於某些金屬材料來說,可以根據布氏硬度值粗略地確定其抗拉強度值 。
特點
一般來說,布氏硬度值越小,材料越軟,其壓痕直徑越大;反之,布氏硬度值越大,材料越硬,其壓痕直徑越小。
布氏硬度測量的優點是具有較高的測量精度,壓痕面積大,能在較大範圍內反映材料的平均硬度,測得的硬度值也較準確,數據重複性強。
符號及表示方法
符號
布氏硬度的符號:
布氏硬度的符號用 HBS或HBW表示。
HBS表示壓頭為淬硬鋼球,用於測定布氏硬度值在450以下的材料,如軟鋼、灰鑄鐵和有色金屬等。
HBW表示壓頭為硬質合金,用於測定布氏硬度值在650以下的材料。
表示方法
布氏硬度的表示方法: HBS或HBW之前的數字為硬度值,後面按順序用數字表示試驗條件:
①壓頭的球體直徑;
②試驗載荷;
③試驗載荷保持的時間(10~15s不標註)。
例如170HBS10/1000/30表示用直徑10mm的鋼球,在9807 N(1000 kgf)的試驗載荷作用下,保持30s時測得的布氏硬度值為170。
530HBW5/750表示用直徑5 mm的硬質合金球,在7355N(750kgf)的試驗載荷作用下,保持10~15s時測得的布氏硬度值為530。
布氏硬度試驗
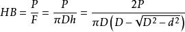
試驗原理
布氏硬度HB的計算式為 :
布氏硬度
布氏硬度其中,布氏硬度單位是kgf/
式中 d——壓痕直徑,mm;h——壓痕深度,mm。
布氏硬度試驗原理示意圖只要測出壓痕直徑,即可通過計算或查表求出 HB值。
試驗時根據材料的性質和形狀選用不同的載荷和鋼球直徑。布氏硬度的試驗方法和技術要求可參見GB231—63。
布氏硬度試驗的優點是代表性強,數據重複性好,與強度之間存在一定的換算關係。缺點是不能測試較硬的材料;壓痕較大,不適於成品檢驗。通常用來檢驗鑄鐵、有色金屬、低合金鋼等原材料和調質件的硬度。
試驗條件
布氏硬度試驗時,壓頭球體的直徑D、試驗載荷F及載荷保持的時間 t,應根據被試金屬材料的種類、硬度值的範圍及厚度進行選擇。 常用的壓頭直徑 1、2、2.5、5和10毫米五種。
試驗載荷可從9.807N (1kgf)~29.42 KN (3000 kgf)範圍內,
載荷保持的時間,一般黑色金屬為10~15s;有色金屬為30s;布氏硬度值小於35時為60s。
優缺點
鋼球直徑較大,在金屬材料表面上留下的壓痕也較大,故測得的硬度值比較準確。 布氏硬度值和抗拉強度之間有一定的關係,因此可按布氏硬度值近似確定金屬材料的抗拉強度。
如被試金屬硬度過高,將影響硬度值的準確性,所以布氏硬度試驗一般適於測定布氏硬度值小於650的金屬材料。
布氏硬度壓痕較大,故不宜測定成品及薄片材料。
注意事項
HBS和HBW都是布氏硬度符號,但是有區別,而且HBS已經停止使用。在2003年6月1日以前,我國執行的是國家標準GB/T231-1984,布氏硬度試驗用鋼球壓頭進行試驗的用HBS表示,用硬質合金球頭試驗的用HBW表示。同樣的試塊,當其它試驗條件完全相同的情況下,兩種試驗結果不同,HBW值往往大於HBS值,而且並無定量的規律所循。
布氏硬度試驗規範從2003年6月1日開始,原國標GB/T231-1984廢止,我國等效執行國際標準ISO6506,制定了新的國家標準:GB/T231.1-2002,文中明確取消了鋼球壓頭,全部採用硬質合金球頭。因此HBS停止使用,全部用HBW表示布氏硬度符號。
套用
布氏硬度測量法適用於鑄鐵、非鐵合金、各種退火及調質的鋼材,不宜測定太硬、太小、太薄和表面不允許有較大壓痕的試樣或工件。
國家標準(GB231-84)規定布氏硬度試驗時,常用的0.102F/D的比例為30、10、2.5三種,根據金屬材料的種類、試樣硬度範圍和厚度的不同,按下表(布氏硬度試驗規範)選擇試驗壓頭(鋼頭)的直徑D、試驗力F及保持時間。

