基本概念
由數列{a}的一階差分構成的數列稱為數列{a}的 一階差分數列,記作Δ{a}或Δa,即
差分數列同樣,由{a}的二階差分構成的數列稱為{a}的 二階差分數列,記作Δ²{a}或Δ²a,且有
差分數列依次類推,數列{a}的幾階差分構成的數列稱為數列{a}的 n階差分數列,記作Δⁿ{a}或者Δa,即
差分數列相關說明
差分數列對數列{a}有 ,因此,如果能求得數列{a}的一階差分數列Δ{a}的前n-1項之和,即可求得數列{a}的通項公式。同樣可通過研究數列{a}的n階差分數列Δ{a}探求其n-1階差分數列Δ{a}的通項公式,從而最終求得{a}的通項公式,所以,研究數列{a}的差分數列是探求數列{a}的通項公式的途徑之一。
公式
差分數列一階差分:
差分數列二階差分:
......
差分數列n階差分:
例題解析
【例1】舉例說明什麼是差分數列、階差法。
解數列 -2 2 7 15 28 ......
一階差分 4 5 8 13......
二階差分 1 3 5...
三階差分 2 2...
像上面的例子那樣,從原數列各項分別減去它的前面一項,以所得的差為項,得到一個新數列,叫做原數列的 一階差分數列;從一階差分數列各項分別減去它的前面一項,以所得的差為項的數列,叫做 二階差分數列。如此類推,可得三階、四階、五階差分數列等。
利用上面這些差分數列的性質,可以求原數列的通項及前n項的和,這樣的方法叫做 階差法。
注 一般地,對於數列
差分數列設它的一階差分數列為
差分數列則有
故可求得原數列的通項a(一階差分數列常簡稱為差分數列)。
【例2】在數列2, 4, 8, 14,22, 32,...中:
(1) 以每相鄰兩項之差為項的數列,是怎樣的數列?
(2)求這個新數列的前n-1項的和。
(3)利用上面的結果求原數列的第n項。
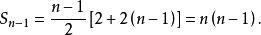
解 (1)原數列的一階差分數列為2,4,6,8,10,...,這是一個等差數列,其首項a=2,公差d=2。
差分數列(2)
(3) 設原數列為{a},差分數列內{b},則
差分數列將上列各式丙邊相加,得
差分數列
差分數列
差分數列但 =n(n-1), ,故
差分數列
差分數列
