引言
客觀世界許多變數本身就是離散的(比如酵母菌的分裂,股市的開盤或收盤價的按日記錄等),它們表現出來的函式也是離散的;現實生活中存在著大量的連續函式關係難以用解析式表示(如河流水位的高低作為時間的函式等),人們只能測得一系列值而得到一個數列;有些函式關係儘管能用函式表示,但其解析式比較複雜(如捕食與被捕食種群數的變化、接觸性傳染病的傳播等),在不妨礙結果有效性的前提下,人們也願意把對連續函式的研究轉換為對數列的研究,而計算機技術的發展,更為數列的研究提供了方便,是數列的套用也日趨廣泛。
差分計算
差分計算差分,又名差分函式或差分運算,差分的結果反映了離散量之間的一種變化,是研究離散數學的一種工具。它將原函式f(x) 映射到 。差分運算,相應於微分運算,是微積分中重要的一個概念。總而言之,差分對應離散,微分對應連續。差分又分為前向差分和逆向差分兩種。
在社會經濟活動與自然科學研究中,我們經常遇到與時間t有關的變數,而人們往往又只能觀察或記錄到這些變數在離散的t時的值。對於這類變數,如何去研究它們的相互關係,就離不開差分與差分方程的工具。微積分中的微分與微分方程的工具,事實上來源於差分與差分方程。因此差分與差分方程更是原始的客觀的生動的材料。
差分計算
差分計算
差分計算
差分計算
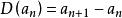
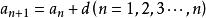
差分計算讀者熟悉等差數列: ,其中 ,d為常數,稱為公差, 即 ,這就是一個差分,通常用 來表示,於是有 ,這是一個最簡單形式的差分方程。
差分計算
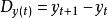
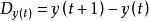
差分計算定義.:設變數y依賴於自變數t ,當t變到t + 1時,因變數y = y(t)的改變數 稱為函式y(t)在點t處步長為1的(一階)差分,常記作 ,簡稱為函式y(t)的(一階)差分,並稱D為差分運算元。
套用
在比較兩個分數大小時,用“直除法”或者“化同法”等其他速算方式難以解決時可以採取的一種速算方式。
適用形式:
兩個分數作比較時,若其中一個分數的分子與分母都比另外一個分數的分子與分母分別僅僅大一點,這時候使用“直除法”、“化同法”經常很難比較出大小關係,而使用“差分法”卻可以很好地解決這樣的問題。
在滿足“適用形式”的兩個分數中,我們定義分子與分母都比較大的分數叫“大分數”,分子與分母都比較小的分數叫“小分數”,而這兩個分數的分子、分母分別做差得到的新的分數我們定義為“差分數”。例如:324/53.1與313/51.7比較大小,其中324/53.1就是“大分數”,313/51.7就是“小分數”,而324-313/53.1-51.7=11/1.4就是“差分數”。
“差分法”使用基本準則—— “差分數”代替“大分數”與“小分數”作比較:
1、若差分數比小分數大,則大分數比小分數大;
2、若差分數比小分數小,則大分數比小分數小;
3、若差分數與小分數相等,則大分數與小分數相等。
比如上文中就是“11/1.4代替324/53.1與313/51.7作比較”,因為11/1.4>313/51.7(可以通過“直除法”或者“化同法”簡單得到),所以324/53.1>313/51.7。
