試驗方法及步驟:
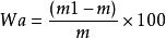
1、測乾質量:將試件放入溫度為105℃~110℃的烘箱內烘至恆量,烘乾時間一般為12h~24h,取出置於乾燥器內冷卻至室溫(20℃±2℃),稱其質量m。
2、自由吸水:將稱量後的試件置於水容器內,先注水至試件高度的1/4處,以後每隔2h分別注水至試件高度的1/2和3/4處,6h後將水加至高出試件頂面20mm,以利試件內空氣逸出,試件全部被水淹沒後再自由吸水48h。取出浸水試件,用濕紗布擦去試件表面水分,立即稱其質量m1。
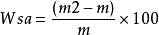
3、強制飽和:a煮沸法(將稱量後的試件放入水槽,注水至試件高度的一半,靜置2h,再加水使其浸沒,煮沸6h以上,並保持水的深度不變。煮沸停止後靜置水槽,待其冷卻,取出,用濕紗布擦去表面水分,立即稱其質量m2);b真空抽氣法(將稱量後的試件置於乾燥器中,注入潔淨水,水面高出試件頂面20mm,開動抽氣機,抽氣時真空壓力需達到100kPa,保持此真空狀態直至無氣泡發生時為止--不少於4h。經真空抽氣的試件應放置在原容器內,在大氣壓力下靜置4h,取出,用濕紗布擦去表面水分,立即稱其質量m2)。
4、結果整理:
岩石飽和係數岩石吸水率
岩石飽和係數岩石的飽和吸水率
岩石飽和係數飽水係數
相關概念
吸水率:指岩石在通常的大氣壓力下吸入水的重量與岩石乾燥重量之比。
飽和吸水率:指岩石在一定的高壓條件下或在真空條件下吸水重量與岩石乾重之比。
意義
吸水率與飽和吸水率之比值,稱為飽和係數。在工程地質中,研究岩石吸水能力大小很有意義。岩石吸水能力越強,表示岩石裂隙愈發育,其強度愈低、穩定性差.岩石的飽和係數可作為岩石抗凍性的間接指標。飽和係數愈大,岩石抗凍性愈差。

