定義
單位:cm2/s,導壓係數用希臘字母c表示。
學科範疇
地下水動力學
套用工程
水利工程;地質工程;岩土工程;
公式定義
計算公式:它是地層有效滲透率K 除以流體粘度μ與綜合壓縮係數Ct乘積μCt所得的商。即c=K/(μCt)。
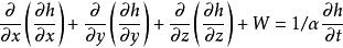
定義:對於承壓水,運動偏微分方程如下:
導壓係數其中,對於各向同性材料,k=kx=ky=kz代表 ,
令
導壓係數微分方程化為:
導壓係數稱α為壓力傳導係數,或導壓係數。
導壓係數,又稱壓力傳導係數-----表示彈性液體在彈性多孔介質中不穩定滲流時,壓力變化傳遞快慢的一個參數。
單位:cm2/s,導壓係數用希臘字母c表示。
地下水動力學
水利工程;地質工程;岩土工程;
計算公式:它是地層有效滲透率K 除以流體粘度μ與綜合壓縮係數Ct乘積μCt所得的商。即c=K/(μCt)。
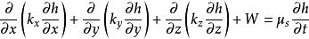
定義:對於承壓水,運動偏微分方程如下:
導壓係數其中,對於各向同性材料,k=kx=ky=kz代表 ,
令
導壓係數微分方程化為:
導壓係數稱α為壓力傳導係數,或導壓係數。
導水係數即含水層的滲透係數與其厚度的乘積。其理論意義為水力梯度為1時,通過含水層的單寬流量,常用單位是m/d。導水係數只適用於平面二維流和一維流,而在三...
釋義 計算 影響因素 不同含水層中的變化交叉耦合係數(cross coupling coefficient)是指沿加速度計的輸入軸及其垂直方向都有加速度作用時,加速度計的輸出中有一項與這兩個加...
簡介 與交叉加速度的關係 交叉加速度 加速度計 加速度計的種類壓差卡鑽,又稱粘吸卡鑽,是指鑽井中的固相顆粒吸附在井壁上就形成的濾餅造成鑽桿粘吸卡住。
壓差卡鑽的原因 壓差卡鑽的表征 壓差卡鑽的預防 壓差卡鑽的處理 處理壓差卡鑽應注意的問題所謂半導體的壓阻效應,是指當半導體受到應力作用時,由於載流子遷移率的變化,使其電阻率發生變化的現象。它有以下優點:①靈敏度與精度高;②易於小型化和集成化...
定義 優點 各向異性 測量壓阻效應互導即壓控器件(如場效應管、電子管等)的輸入電壓對輸出電流的控制能力。(象電子管)板極電壓保持不變時,板極電流的變化與引起這種變化的柵極電壓變化之比。互...
互導定義 互導求解 互導套用所謂壓阻效應,是指當半導體受到應力作用時,由於應力引起能帶的變化,能谷的能量移動,使其電阻率發生變化的現象。它是C.S史密斯在1954年對矽和鍺的電阻率...
定義 優點 各向異性 測量壓阻效應可調差壓閥,不需外來能源,依靠被調介質自身壓力變化進行自動調節,自動消除管網的剩餘壓頭及壓力波動引起的流量變化。
旁壓試驗是將圓柱形的旁壓器豎直地放入土中, 利用旁壓器的擴張, 對周圍土體施加均勻壓力, 測量徑向壓力和變形的關係, 即可求得地基土在水平方向的應力應變...
類型 原理 設備 作用自力式自身壓差控制閥是改變自力式壓差控制閥的流通截面的一種機械。
工作原理 自力式壓差控制閥的特性 自力式壓差控制閥的選用