測井原理
生產井中的流體主要有油、氣、水三種流體,它們在密度上有明顯差別。流體密度測量就是用密度計測量流體密度,通過測量流體密度達到區分產液剖面性質的目的。
測井儀器
測量流體密度的儀器主要有壓差密度計和伽馬密度計。壓差密度計和伽馬密度計得到的流體密度資料都可以用於定性分析進入井眼的流體類型、劃分流體界面和定量確定兩相流中的持液率。
1、壓差密度計
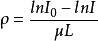
壓差密度計利用兩個相隔一定距離(常為2ft)的壓敏波紋管,測量井筒內這兩點間流體的壓差值。對摩阻損失不大的井眼,測出的壓力梯度正比於流體密度。
密度測井式中:
d——壓敏波紋管間距;
θ——井斜角;
△h——壓敏箱間的垂直高差;
g——重力加速度。
總壓力梯度=靜壓梯度+摩阻梯度+加速度梯度
由於壓敏箱間距一般較小,因此速度變化很小,加速度梯度可以忽略不計。當流速低於60m/min時,可認為壓差密度計測量值僅與靜壓梯度有關,反映流體密度大小。
壓差密度計的優點:可以探測整個流動截面
壓差密度計的缺點:當井筒斜度較大或水平時,測量解析度會降低甚至無效。
2、伽馬密度計
伽馬密度計的測量原理與地層密度測井儀類似,利用流體對伽馬射線的吸收特性測定流體密度。伽馬射線穿過物質,與物質發生光電效應、康普頓效應和電子對效應,射線強度衰減服從指數規律:
密度測井
密度測井伽馬密度計測量的是井筒內流經儀器流道的那部分流體,優點是在井筒斜度較大或水平時,仍可進行有效測量,只是此時測量結果受各相流體重力分異影響較大。
伽馬密度計缺點是只能探測流動截面的一部分。
伽馬射線物質的作用
密度測井由伽馬射線源放出的伽馬射線,其能量範圍為幾萬電子伏特到幾百萬電子伏特。當高能伽馬射線穿過物質時,與物質發生相互作用,通常會產生三種效應,即電子對效應、康普頓效應和光電效應。現分述如下:
(1)電子對效應。
當能量大於1.02MeV 的伽馬射線穿過原子核附近時,在原子核庫侖場的作用下形成一對正、負電子,伽馬射線本身被吸收,這種過程稱為電子對效應,如圖a所示。伽馬射線穿過單位距離的物質時,由於電子對效應使其強度減弱,用吸收係數κ表示。經驗表明κ與原子序數Z 的平方成正比。
(2)康普頓效應。
當伽馬射線的能量中等時,伽馬射線與原子中的電子發生碰撞,把一|部分能量傳給電子,使電子沿某一方向射出,損失了部分能量的伽馬射線沿另一方向射出(圖b),這種效應為康普頓效應,碰撞後射出的電子叫作康普頓電子。由於康普頓效應引起伽馬射線的吸收,用散射係數σ表示。σ與原子序數成正比,即與原子的電子數成正比,由此得出散射係數σ與岩石中的電子密度成正比,這就是密度測井的理論依據。
(3)光電效應。低能量的伽馬射線與原子核的電子層發生作用時,把全部能量傳給電子,使電子脫離電子層成為自由電子,伽馬射線本身被吸收,這種效應叫作光電效應,打出的電子稱為光電子(圖c)。在單位長度上由光電效應使伽馬射線被吸收用吸收係數τ表示,吸收係數τ與原子序數有關,岩性密度測井就是以此為理論依據的。
分類
密度測井可分為補償地層密度測井和岩性密度測井。
補償地層密度測井
1、原理
密度測井利用伽馬射線與物質作用的康普頓效應,研製出補償地層密度測井儀。利用固定強度的伽馬射線源照射地層,伽馬射線穿過地層時,由於產生康普頓效應,伽馬射線會吸收,地層對伽馬射線吸收的強弱決定於岩石中單位體積內所含的電子數,即電子密度,而電子密度又與地層的密度有關,由此通過測定伽馬射線的強度就可測定岩性的密度。現在採用的補償地層密度測井儀(FDC),其結構如圖所示,通常用銫作為伽馬射線源,它放出能量為0.661MeV 的單色伽馬射線,裝有長、短源距兩個探測器,源和探測器裝在同一滑板上,利用推靠器把滑板壓向井壁,滑板上部有犁形結構,測井時滑板可切入泥餅,以減弱泥餅的影響。
密度測井利用長、短兩個探測器可以對泥餅影響進行校正。長源距探測器反映地層的變化,短源距探測器主要反映泥餅的影響,根據長、短源距計數率對地層和泥餅的回響繪製了"脊肋圖"(圖2)。
圖中的實線稱為“脊線”,如果井眼光滑並且不存在泥餅時,長、短源距計數率的交會點即落在脊線上,根據該點的位置即可得出地層的密度ρb。如果有泥餅時,長、短源距探測器計數率的交會點偏離脊線,如圖中與脊線斜交的線,稱為"肋線"。對於普通鑽井液,泥餅的影響使交會點向脊線的右側偏離;如果鑽井液中含有重晶石,泥餅密度大,使交會點向左偏離脊線。補償地層密度測井就是根據脊脅圖的關係,自動對泥餅影響進行校正,密度測井上直接顯示出地層密度ρb 的值。
2、套用
補償地層測井曲線右側的密度校正值Δρ曲線用來表示測井曲線的質量,不代表真正的校正值,利用Δρ曲線與井徑曲線配合,即可判斷測井質量是否可靠。
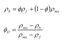
(1)確定地層孔隙度。根據測出的地層密度值pb 值,利用下式可求得地層孔隙度。
密度測井式中
Φ——密度測井求得的孔隙度;
ρ——岩石骨架的密度值;
ρ一一岩石孔隙度所含流體的密度值。
(2)劃分含氣地層。對於含氣地層,體積密度pb 值降低,使孔隙度增大,而中子曲線因氣層含氫時降低,使孔隙度變小,所以利用密度測井和中子測井曲線重合可劃分氣層。另外也可根據中子測井和密度測井交會圖來劃分含氣地層。
岩性密度測井
1、原理
岩性密度測井是在補償地層密度的基礎上發展起來的,除利用康普頓效應求地層密度外,還利用光電效應來劃分岩性。
由伽馬源射出的伽馬射線穿入地層時,經多次碰撞,能量降低,低能量伽馬射線與地層中的元素髮生光電效應,伽馬射線被原子吸收,並放出光電子,此時原子對伽馬射線的吸收截面稱為光電吸收截面(τ)。τ與原子序數Z 的關係可用下式表示:
密度測井式中
τ 一一原子序數;
密度測井k 一一與入射伽馬射線能量有關的係數。
為了同時記錄pe 用pb 曲線,根據伽馬射線能譜分析,在岩性密度測井儀中,設計了長、短源距探測器的能量視窗(如圖),對長源距探測器開有高能視窗(H)和低能窗(S),高能視窗在康普頓散射區內獲得地層密度pb 信息:在低能視窗內獲得光電吸收的信息,即反映岩石成分的Pe 信息。短源距探測器只設高能視窗(H)。利用這樣的設定,岩性密度測井可給出地層密度pb 有效光電吸收截面指數Pe 曲線。
密度測井2、套用
(1)劃分岩性。有效光電吸收截面指數與岩石的成分密切相關,不同岩石的Pe 值有明顯差別,而且孔隙度對Pe 的影響很小。
(2)如果岩石骨架由兩種礦物成分組成,可確定岩石孔隙度和有關組分的百分含量。
(3)如果岩石由三種骨架礦物組成,可用三礦物分析圖,確定各礦物的含量。
套用
1.確定岩層的孔隙度,是密度測井的主要套用。
2.識彆氣層,氣層處中子伽馬測井顯示出很高的計數率值。
3.判斷岩性,密度測井和中子測井曲線重疊可是識彆氣層,判斷岩性。
4.密度-中子測井交會圖法確定岩性求孔隙度。
5.確定油水界面:在停產井中,氣、油、水會按密度分離,此時,利用壓差密度曲線可以準確劃分流體界面。水層中的中子伽馬測井計數率值大於油層的中子伽馬測井計數率值,但只有在地層水礦化度比較高的情況下,才能利用中子伽馬測井曲線劃分油水界面,區分油水層。
6.識別流體類型:一般而言,在射開層段的邊緣上,壓差密度計讀數的變化表明可能有流體進入井筒內;如果有明顯數量的自由氣進入油、水液柱中,測值會變低;如果有水進人油或氣相中,測值會變高。但要特別注意將流體進入與井筒內流體界面處發生的密度變化區分開。

