飽和度測井
正文
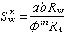
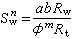
通過井筒,用測井儀器測量和計算儲層岩石孔隙中的含油飽和度,以判別油、氣層中原始含油、氣、水飽和度或剩餘油、氣、水飽和度的分布。測量地層含油飽和度有自然電位、人工電位、自然γ射線、微測井、感應、側向、聲波、岩性密度、中子、中子壽命、碳氧比C/O能譜、介電等測井方法。根據地質條件和開採條件,選用其中幾種方法,綜合解釋飽和度。油、氣田開發初期,在裸眼井中測量原始含油氣飽和度的常規測井方法是電阻率法。用上述方法獲得的測井資料求出地層真電阻率和孔隙度,利用相應的室內實驗數據,根據下列的阿爾奇公式,即可求出相應的地層含水飽和度:

在油田開發中,需要測得不同階段的剩餘油飽和度。注水開採的油田,一般注入淡水,其礦化度比油層水低得多,因而電阻率高,用電阻率法測定油水飽和度就很困難,目前採用的測井方法有常規測井方法加介電測井法或人工電位法。油和水的介電常數不同,利用介電測井法可不受地層水礦化度的限制,以判斷油田注淡水後油、水飽和度的變化。但當油層電阻率小於40Ω·m和泥質含量增高時,介電測井法判斷水淹層精度不高。人工電位法是利用注淡水後不同的含水飽和度造成的油層水礦化度的差異,來判別剩餘油飽和度,在地層水礦化度小於10000ppm的條件下效果較好。這些方法同時配合常規測井方法如自然電位測井法,效果更好。上列方法只能測裸眼井。在已下套管的井中要用放射性測井為主的測井系列。
C/O能譜測井法 石油含碳量高,水含氧量高,用C/O能譜測井儀測得每個油層中C、O原子的相對含量,就可以用來計算剩餘油飽和度(S0)。孔隙度越高,求得S0的精度就越高。如孔隙度小於15%時,就不能用作定量分析。此法可以不受地層水礦化度限制,並能在套管井中測量。
中子壽命測井法 地層水或注入水礦化度高時,水中含氯量多,氯的熱中子俘獲截面大,而油的熱中子俘獲截面小。熱中子衰減時間與俘獲截面成反比,測量熱中子的俘獲截面,即可求得剩餘油飽和度。此法可在套管中測量。通常採用時間推移測井:即在油井完成後未開採前,進行第一次測井,求得原始含油飽和度(S0);油井開始生產後,注入相同於地層水的高礦化度水或讓邊、底水自然進侵,使油層含水飽和度不斷增加,定期用此法檢查,並將結果與原始情況對比,可得到當時的剩餘油飽和度。當地層水礦化度小於20000ppm時,求得S0誤差大,本法不能套用。
測井-注入-測井法 在開發後期套用中子壽命測井儀測量水驅殘余油飽和度的一種測井方法。此法有三個步驟:①先進行一次測井獲得底數;②注入和地層水礦化度不同的水,要使兩種地層水的俘獲截面相差50mb(毫靶恩)以上,1mb為10-31m2;③重複測井。對比兩次測井結果,即可求得殘餘油飽和度。此法精度高,一般誤差小於 5%。可用作決定提高石油採收率方法的依據。關鍵在於要有一套嚴格的施工工藝:注入地層的水必須均勻,而且將油層水推至中子壽命儀探測範圍以外;注入的壓力小於地層破裂壓力,以不損壞地層的孔隙結構為限。否則,就會影響精度。對含高礦化度地層水的儲油層,在開發中期,用此法也可測定剩餘油飽和度。
參考書目
P.A.魏奇門著,華東石油學院譯:《測井解釋基礎》,第一版,石油化學工業出版社,北京,1978。
(P.A.Vichmann,Log Interpretation Fundamentals,Dresser Atlas Division, Dresser Industries Inc.,Houston,1975.)
D.C.邦德等編著,王平等譯:《殘餘油飽和度確定方法》,第一版,石油工業出版社,北京,1982。(D.C.Bondet al.,Determination of Residual Oil Saturation,Interstate Oil Compact Commission,Oklahoma,1978.)

