簡介
安匝是磁勢Fm的單位,可根據所要求的鐵心磁通量Ф與鐵心磁路總磁阻Rm計算,Fm=IN=ФRm。其中,N為線圈的匝數,I為流過線圈的電流。
如果磁路是分段均勻的,則磁阻Rm=l/(μS),其中:l為每段磁路的長度(單位為米),μ為磁路所用材料的磁導率,S為每段磁路的截面積(單位為平方米)。
如果是交流磁路,鐵心磁通量Ф一般根據線圈的電壓進行計算,如果忽略線圈的漏阻抗,近似認為線圈電壓等於它感應的電動勢,則U≈E=4.44NfФ。也就是說,Ф≈U/(4.44Nf)。其中,f為交流電源的頻率。
如果是直流磁路,磁通量Ф則根據吸力要求計算,且鐵心的形狀不同,計算方法也不一樣。對於π形鐵心,若吸力用字母Fx表示,則Fx=0.5×SoBo^2/μo≈400000×So×Bo^2。其中,So為磁路斷口處的截面積(單位為平方米),Bo為磁路斷口處的磁通密度,即Bo=Ф/So。一般Bo可取1.2~1.8(特斯拉)。這樣,根據吸力Fx,就可計算So和Ф,並計算出磁路的磁阻Rm。 有了Ф和Rm,就可計算線圈的磁勢Fm=IN=ФRm的安匝數來 。
計算本質
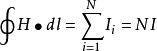
圖3 在豎直於無限長的通電導線的截面上的任一閉合線上(如圖3)有:
安匝 若閉合線內有N條通以I電流的導線,則有:
安匝
安匝 則為磁動勢,即磁動勢用安匝來表示。
對於螺線管兩端的磁勢差近似有:
安匝 可以看出,螺線管兩端的磁勢差只是近似等於(1/2)Nl,其計量單位也是A。也就是說,一圈(或一匝)通以2A電流所產生的磁通勢與1000圈(或1000匝)通以2mA電流的線圈所產生的磁通勢是不相同的,磁通勢還與線圈的幾何形狀有關,在有些場合,不能簡單用電流多少安培(A)來表示,套用安匝來表示。換句話說,安匝就是線圈所產生磁通勢的工程計量單位 。
平衡原理
安匝平衡實際上又叫磁勢平衡。一般在分析變壓器和異步電動機磁路時用。如變壓器的一次繞組接電源,在磁路中將產生磁通,並在一、二次繞組感應電動勢去平衡電源電壓。一般電源電壓變化不大,磁路中的磁通也將基本維持不變。
負載後,二次繞組中有電流流過,也將產生磁勢,影響磁路中的磁通。從而影響一、二次繞組感應電動勢的數值。當磁路中的磁通變化後,由於電源電壓沒有變,將自動使一次繞組的電流發生變化來使磁路中的磁通維持不變,而一次繞組電流發生變化造成磁路中磁勢的變化基本補償了二次繞組由於負載變化造成的對磁路中的磁通的影響,也就是說,一、二次繞組產生的磁勢是平衡的。
而又因為磁勢等於電流的安培數與繞組的匝數之乘積。因此,磁勢平衡又稱為安匝平衡。異步電動機磁路的情況與上面對變壓器的分析基本相似。
套用
目前的鉗形表校驗儀基本都是採用安匝平衡法原理,即對一穿過鉗形表的電流線圈加標準電流,從而對鉗形表進行校驗。其公式為:
安匝 式中:I為線圈所加標準電流;N為線圈匝數;I為鉗形表二次電流;N為鉗形表二次線圈匝數,與電流測量電路相連 。
容量
穿心式電流互感器 穿心式電流互感器是一種常見的器件,因其接線簡單,安裝方便,廣泛用於汁壁、檢測及保護線路中。但在使用中稍不注意,可引起極大的誤差而造成計量不準,保護失靈。這一切,都與電流互感器的安匝容量有關。
所謂安匝容量,系指電流互感器一次側單心穿線時的最大額定電流值。也即額.定電流與穿心匝數的乘積。
如型號為LMZJ一0.5400安匝,即指一次側單匝穿心最大電流為40A,如兩匝穿繞則原邊額定電流即為200A,它與檢測電流表配合使用,既表示了電流互感器一次側的額定電流工作範圍,也暗示了接線方式,如果忽視了這個問題,僅僅單純根據互感器的變比來接線,就會出現許多難以預料的問題。以致發生計量不準,保護失靈,甚至發生電氣事故 。

