基本形式
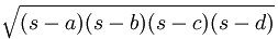
婆羅摩笈多公式的最簡單易記的形式,是圓內接四邊形面積計算。若圓內接四邊形的四邊長為 a, b, c, d,則其面積為:
婆羅摩笈多公式
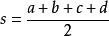
婆羅摩笈多公式其中 s為半周長:
證明
圓內接四邊形的面積 = △ADB的面積 + △BDC的面積
婆羅摩笈多公式
婆羅摩笈多公式
婆羅摩笈多公式
婆羅摩笈多公式但由於ABCD是圓內接四邊形,因此 。故 。所以:(area為四邊形面積)
婆羅摩笈多公式對△ADB和△BDC利用餘弦定理,我們有:
婆羅摩笈多公式
婆羅摩笈多公式代入 (這是由於 A和 C是互補角),並整理,得:
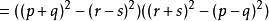
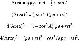
婆羅摩笈多公式把這個等式代入面積的公式中,得:
婆羅摩笈多公式
婆羅摩笈多公式
婆羅摩笈多公式
婆羅摩笈多公式它是 的形式,因此可以寫成 的形式:
婆羅摩笈多公式
婆羅摩笈多公式
婆羅摩笈多公式
婆羅摩笈多公式引入 ,
婆羅摩笈多公式兩邊開平方,得:
婆羅摩笈多公式證畢。
一般情況
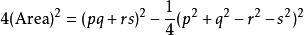
對一般四邊形的面積,擴展的婆羅摩笈多公式用到了四邊形的對角和:
婆羅摩笈多公式
婆羅摩笈多公式
婆羅摩笈多公式其中θ是四邊形一對角和的一半。(選取另一對角也不會影響答案,因其和的一半是π − θ。而 ,所以 。)
婆羅摩笈多公式
婆羅摩笈多公式
婆羅摩笈多公式因為圓內接四邊形的對角和為 ,而 ,所以項 為零,給出公式的基本形式。
相關定理
海倫公式給出三角形的面積。它是婆羅摩笈多公式取 d = 0的特殊情形。
婆羅摩笈多公式的基本形式和擴充形式,就像由勾股定理擴充至餘弦定理一般。

