簡介
夾層板殼圖為具有蜂窩狀夾心的夾層板。由於主要材料分布在受力最大的上下表層,所以夾層板殼有較高的抗彎能力,而且還具有重量輕、強度高的優點。夾層板殼不採用大面積鉚接,所以能夠減少應力集中,從而提高疲勞強度。適當選擇表層和夾心,還可使夾層板殼獲得良好的抗振、隔熱、隔聲等性能。
研究歷史
20世紀20年代有人提出關於夾層板殼的構想,但由於製造工藝複雜而未能推廣。從40年代起,夾層板殼作為一種重要的結構形式出現於航空、航天、航海等工程中。C.A.諾索夫、N.J.霍夫、E.瑞斯納、C.利伯夫和S.巴特多夫等學者,對夾層板殼的力學理論進行了廣泛的研究。
詳細介紹
夾層板殼的夾心(如蜂窩夾心、波紋夾心等)一般不是連續材料,但在研究夾層板殼的巨觀問題時,可把它折合成連續材料。這樣,夾層板殼就可以作為一般板殼來處理。實驗表明,只要夾心構造尺寸(如蜂窩格子的邊長、波紋板的波長等)遠小於夾層板殼的最小平面寬度,這種處理就是合理的。嚴格地說,蜂窩狀夾心的板殼是各向異性的,但差異不大,可近似地作為各向同性板殼來分析。
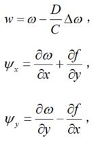
以夾層板為例,問題可歸結為求解撓度ω 和垂直於中面(xy平面)的直線段在xz、yz平面內的轉角ψx、ψy。為了簡化上述三個量的求解,可將問題等價地化為求解兩個位移函式ω和f,它們與ω、ψx、ψy之間的關係為:
夾層板殼
夾層板殼式中D為夾層板的彎曲剛度;C為剪下剛度;為平面拉普拉斯算符。
研究表明,夾層板的問題,可分解為普通板問題和幾個彈性地基上的薄膜問題,其中普通板問題比較簡單並已為人們所熟悉,而考慮不同的薄膜問題的差別就形成不同的夾層板理論,具有代表性的是:
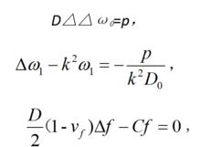
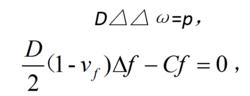
①瑞斯納理論 假設表層是一個僅能承受自身平面的內力而不能承受彎矩的薄膜,夾心只起抗剪作用。在這種假設下,描述夾層板彎曲問題的微分方程為:
夾層板殼式中p為分布載荷;νf為表層的泊松比(見材料的力學性能)。
夾層板殼②霍夫理論 假設表層是普通薄板,它滿足基爾霍夫假設(見薄板理論),而夾心只承受剪下作用。這種夾層板的微分方程為:
式中的ω0、ω1與ω 有如下關係: 而D0=D+2Df,Df為表層的彎曲剛度;k則是與夾心厚度、表層厚度、C和D有關的參量。
③普魯薩科夫-杜慶華理論 假設表層是普通薄板,而夾心除承受剪下外,還可通過橫向彈性變形承受垂直於板面的力。在此情況下,基本方程比霍夫理論多一個彈性地基上薄膜的方程。
對不同的結構和不同的受力情況應採用不同的理論。一般情況下,當求解夾層板的橫向位移和整體失穩等工程問題時,採用瑞斯納理論就夠了。但在求解固支邊界附近的應力和集中載荷作用下的夾層板等問題時,則要採用霍夫理論,或採用普魯薩科夫-杜慶華理論。
現有夾層殼理論就其力學模型來說與夾層板理論類似,但由於曲率的存在,殼體的內力與撓度相互耦合,基本方程的數學表達式很複雜。以瑞斯納理論為例,對於球殼或圓柱殼,相應的偏微分方程是10階的,有5個邊界條件。與夾層板類似,夾層殼的問題通常可分解為普通殼體的問題和一個彈性地基上薄膜問題。
