簡介
失憶性貝類毒素(Amnesic Shellfish Toxins,AST或Amnesic Shellfish Poisoning, ASP)是由一種海洋硅藻——擬菱形藻Pseudo-nitzschia sp.產生的強神經性生物毒素,化學名稱為多莫酸(domoic acid,簡稱DA)。一種興奮性脯氨酸衍生物和神經毒素,是浮游植物代謝的產物,可以在被藻類污染的海洋食物特別是貝類中檢測到,其結構與紅藻氨酸和谷氨酸相似,是紅藻氨酸受體的興奮劑。
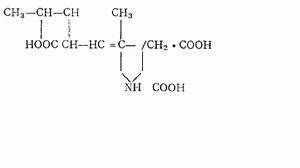
紅藻氨酸結構式毒源
多莫酸DA 最早是從Chondria armata中提取(Takemoto and Daigo,1958);Takemoto 等人於1966年確定了其立體化學結構。Impellizzeri et al. (1975)還從另外一種紅藻Alsidium corallinum 中提取出了DA。不過,直到1987 年才發現DA 對人體有毒,並發現產生這種毒素的是曾經一直被認為無毒的海洋硅藻。擬菱形藻屬已有12種被報導可產生多莫酸[2~4],其中澳洲擬菱形藻(P.australis)、成列擬菱形藻(P.seriata)與多列擬菱形藻(P.multiseries)的產毒性已得到廣泛的認可。而其他9種:靚紋擬菱形藻(P.calliantha)、細弱擬菱形藻(P.cuspidata)、擬柔弱擬菱形藻(P.pseudodelicatissima)、多紋擬菱形藻(P.multistriata)、尖刺擬菱形藻(P.pungens)、柔弱擬菱形藻(P.delicatesima)、P.fraudulenta、P.turgidula和P.galaxiae的毒性在不同地域則表現不同。
擬菱形藻的光學電子圖譜
產毒菱形藻表面微觀結構中毒機制
多莫酸的毒作用機制與興奮性胺基酸受體和突觸傳導有關。興奮性胺基酸L-谷氨酸和L-精氨酸作為神經遞質與其受體結合,有開啟膜上Na+通道的作用,導致Na+內流及膜的去極化。多莫酸屬於一種興奮性胺基酸類似物,與L-谷氨酸和L-精氨酸競爭地與興奮性胺基酸受體結合,且其親合力更強,使Na+通道開放,導致Na+內流及膜的去極化。另外被多莫酸激活的受體打開的通道可對Ca2+高度通透,導致致死性細胞Ca2+內流。 多莫酸是比PSP毒素弱一些的神經性毒素,中毒者症狀奇特,多數在食後3~6h發病,主要表現為腹痛、腹瀉、嘔吐、流涎,同時出現記憶喪失、意識混亂、平衡失調、不能辨認家人及親朋好友等嚴重精神症狀,嚴重者處於昏迷狀態,重症者多為老人,並伴有腎臟損害,曾有12人病後記憶喪失長達18個月之久的報導。多莫酸的LD50約10mg/kg體重(小鼠)。從中毒死亡者的病理解剖可見腦的海馬回、丘腦和杏仁核都有損傷,這與用多莫酸進行動物試驗的病理結果相同。
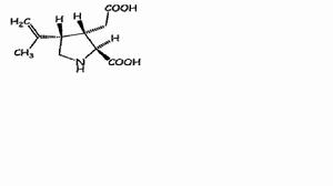
化學結構
多莫酸的化學名稱為[2S-[2α,3β,4β(1Z,3E,3R)]]-2-羧基-4-(5-羧基-1-甲基-1,3-已二烯)-3-毗咯烷乙酸。分子式C15H21NO6,分子量311.34,結構式為DA共有10種異構體(Jeffery et al.,2004),包括Isodomoic acid A~H和C5’非對映異構體,其中Isodomoic acid D、E、F是有毒的。這些異構體可能是DA受紫外線照射後的反應產物,而不是藻類的天然產物。污染貝類和甲殼類的主要是DA,其毒性在所有異構體中是最強的(Wright and Quilliam,1995)。
軟骨藻酸及其異構體結構中毒事件
歷史上唯一一次有完整記錄的失憶性貝毒中毒(Amnesic Shellfish Poisoning,ASP)事件是1987年發生在加拿大愛德華王子島(Prince Edward Island)的食用貽貝中毒事件。受害者表現出(頭痛和短期記憶缺失),共有150人有中毒反應,其中107人確診為DA中毒,9人入院治療,4人死亡。最後確定引發這一事件的是擬菱形藻(Pseudo-nitzschia f. multiseries)赤潮,當時貽貝肉中DA的含量是300~1000μgg-1,而人攝入的毒素量可能達到了1~2 mg kg-1。 1991年,在美國加州的Monterey灣發現了死亡或垂死的海鳥,很多垂死海鳥都表現出了類似神經中毒的症狀,而在死鳥的胃含物中檢測到大量DA。這些海鳥主要以灣內的鯷魚(Engraulis mordax)為食,而在鯷魚的腸道中發現了擬菱形藻P. australis。1998年,在加州又發生了400多頭海獅(Zalop uscalifornianus)因攝食莎瑙魚(Sardinops sagax)和鯷魚中毒死亡的事件,這些餌料魚類也是因攝食了P. australis而含有大量的DA(Scholin et al.,2000)。這已成為威脅當地漁業的一大問題;據報當地已經發現多種有毒擬菱形藻,其中P. multiseries,P.australis,P. pungens和P. psedudodelicatissima 等種類都能產生DA,但其DA含量上有較大差異。
檢測方法
研究人員已經開發出了多種DA檢測方法,包括小鼠生物檢測、HPLLC-MS、螢光HPLC、GC-MS、TLC(薄層色譜)、胺基酸分析、CE(毛細管電泳)、CEC(Capillary electrochromatography)、ELISA、受體結合實驗(Receptor binding assay)等,其中螢光HPLC和受體結合實驗的靈敏度(limits of detection,LOD)能達到0.001~0.002 μg ml-1,而ELISA方法的檢測下限(LOD) 對貝肉樣品是3.3μgkg-1,對海水樣品是6.8 ngL-1;小鼠生物檢測由於時間較長,又不夠靈敏(只適合檢測40~100μg g-1以上濃度的DA),已經不適用於20μg g-1的DA限量標準了。歐盟的官方DA檢測方法是高效液相色譜(HPLC)法,而ELISA法及其試劑盒(ASP Direct cELISAtest kits,Biosense Laboratories,Norway)也因具有方便、快速、靈敏等特點,於2006年被國際分析化學家協會(AOAC)核准為官方檢測方法。

