概念
天饋線指的就是天線的饋線,也稱“饋線”。
饋線是連線天線與收、發信機之間的電磁傳輸線,對饋線的要求有饋線不向外輻射能量、損耗小和效率高,使發射機的能量儘可能多的饋送到天線、有足夠的功率容量和耐壓。
廣播傳送系統常用的饋線有架空明線、同軸電纜、大功率螺紋電纜等。
天饋線系統是微波中繼通信的重要組成部分之一。天線起著將饋線中傳輸的電磁波轉換為自由空間傳播的電磁波,或將自由空間傳播的電磁波轉換為饋線中傳輸的電磁波的作用。而饋線則是電磁波的傳輸通道。在多波道共用天饋線系統的微波中繼通信電路中,天饋線系統的技術性能、質量指標直接影響到共用天饋線系統的各微波波道的通信質量。
常用的天饋線
架空明線與扁平饋線
架空明線結構簡單,介質為空氣,適用於波長大於10米的波段,若用在短於10米的波段,則易產生輻射損失。平衡雙線式明線的特性阻抗為:
天饋線對於電視接收用的SBVD扁平饋線,兩導線間的介質為聚乙烯,特性阻抗為:
天饋線平衡四線式明線的特性阻抗為:
天饋線同軸電纜
幾種常用的同軸電纜的結構如下圖所示:
天饋線
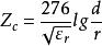
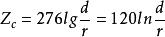
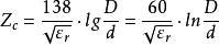
天饋線特性阻抗為:
天饋線
天饋線
天饋線
天饋線
天饋線式中 為內外導體間填充介質的相對介電常數,聚乙烯 =2.26,聚四氟乙烯 =0.27,聚苯乙烯 =2.56。D為外導體的內徑;d為內導體的外徑。
衰減量β:
通常饋線的衰減量β是指20°C時每100米饋線的衰減值,常用分貝或奈培表示。
饋線的衰減由內外導體的電導率(導體損耗)及絕緣材料的損耗(介質損耗)決定。衰減量還與電纜的內、外徑大小有關,隨同軸電纜的型號不同而不同。
傳輸效率μ:
饋線的傳輸效率由輸送給終端負載的功率與輸送給始端的功率的比值決定。可見若要求效率高,應當工作在行波狀態,饋線儘量短,並且採用衰減量小的饋線。
天饋線的轉變
饋線間的轉接,一般有兩種:一是阻抗不同,截面尺寸相同或不同的兩根饋線間的轉接;而是阻抗相同,但截面尺寸不同的饋線間轉接。
阻抗相同,但截面尺寸不同的饋線間的轉接器常見的有兩種:一是錐形變徑管轉接器,內外導體呈錐形;二是梯形變徑管轉接器,其內外導體呈階梯過渡。
錐形變徑管
天饋線錐形變徑管的內外導體是錐形,它由基本公式導出:
天饋線
天饋線使內外導體連續緩慢變化,並同時保持不變,於是就可使尺寸不同的兩同軸饋線實現無反射連線。
梯形變徑管
天饋線梯形變徑管其內外導體呈階梯過渡,它是將直徑較小的內導體向外導體較大的直徑移動一小段距離來補償內導體突變的不連續電容。

