簡介
多變數常態分配亦稱為 多變數高斯分布。它是單維常態分配向多維的推廣。它同矩陣常態分配有緊密的聯繫。
一般形式
多元常態分配N維隨機向量 如果服從多變數常態分配,必須滿足下面的三個等價條件:
多元常態分配任何線性組合 服從常態分配。
多元常態分配
多元常態分配
多元常態分配
多元常態分配存在隨機向量 ( 它的每個元素服從獨立標準常態分配),向量 及 矩陣A滿足
多元常態分配
多元常態分配存在 和一個對稱半正定陣 滿足X的特徵函式
多元常態分配
多元常態分配如果 是非奇異的,那么該分布可以由以下的PDF來描述:
多元常態分配
多元常態分配注意這裡的 表示協方差矩陣的行列式。
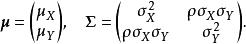
二元的情況
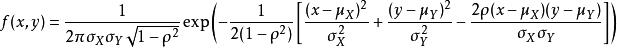
在二維非奇異的情況下( k= rank(Σ) = 2),向量[ X Y]′的機率密度函式為:
多元常態分配
多元常態分配
多元常態分配其中 ρ是 X與 Y之間的相關係數, 且 。在這種情況下,
多元常態分配