原理
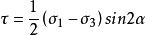
1910年摩爾(Mohr)提出材料的破壞是剪下破壞,並指出在破壞面上的剪應力τ是為該面上法向應力σ的函式,即
壓密不排水三軸壓縮試驗
壓密不排水三軸壓縮試驗
壓密不排水三軸壓縮試驗
壓密不排水三軸壓縮試驗這個函式在坐標中是一條曲線,稱為摩爾包線,如圖1實線所示。摩爾包線表示材料受到不同應力作用達到極限狀態時,滑動面上法向應力σ與剪應力τ的關係。土的摩爾包線通常可以近似地用直線表示,如圖1虛線所示,該直線方程就是庫侖定律所表示的方程()。由庫侖公式表示摩爾包線的土體強度理論可稱為摩爾-庫侖強度理論。
當土體中任意一點在某一平面上的剪應力達到土的抗剪強度時,就發生剪下破壞,該點也即處於極限平衡狀態。
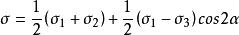
根據材料力學,設某一土體單元上作用著的大、小主應力分別為σ和σ,則在土體內與大主應力σ作用面成任意角α的平面上的正應力σ和剪應力τ,可用τ—σ坐標系中直徑為(σ-σ)的摩爾應力圓上的一點(逆時針旋轉2α,如圖2中之A點)的坐標大小來表示,即
壓密不排水三軸壓縮試驗
壓密不排水三軸壓縮試驗
壓密不排水三軸壓縮試驗將抗剪強度包線與摩爾應力畫在同一張坐標紙上,如圖3所示。它們之間的關係可以有三種情況:①整個摩爾應力圓位於抗剪強度包線的下方(圓Ⅰ),說明通過該點的任意平面上的剪應力都小於土的抗剪強度,因此不會發生剪下破壞;②摩爾壓力圓與抗剪強度包線相割(圓Ⅲ),表明該點某些平面上的剪應力已超過了土的抗剪強度,事實上該應力圓所代表的應力狀態是不存在的;③摩爾應力圓與抗剪強度包線相切(圓Ⅱ),切點為A點,說明在A點所代表的平面上,剪應力正好等於土的抗剪強度,即該點處於極限平衡狀態,圓Ⅱ稱為極限應力圓。
三軸壓縮實驗(亦稱三軸剪下實驗)是以摩爾-庫侖強度理論為依據而設計的三軸向加壓的剪力試驗,試樣在某一固定周圍壓力下,逐漸增大軸向壓力,直至試樣破壞,據此可作出一個極限應力圓。用同一種土樣的3~4個試件分別在不同的周圍壓力下進行實驗,可得一組極限應力圓。作出這些極限應力圓的公切線,即為該土樣的抗剪強度包絡線,由此便可求得土樣的抗剪強度指標。
三軸壓縮實驗是測定土體抗剪強度的一種比較完善的室內實驗方法,可以嚴格控制排水條件,可以測量土體內的孔隙水壓力,另外,試樣中的應力狀態也比較明確,試樣破壞時的破裂面是在最薄弱處,而不像直剪試驗那樣限定在上下盒之間,同時三軸壓縮試驗還可以模擬建築物和建築物地基的特點以及根據設計施工的不同要求確定試驗方法,因此對於特殊建築物(構築物)、高層建築、重型廠房、深層地基、海洋工程、道路橋樑和交通航務等工程有特別重要的意義。
實驗分類
根據土樣固結排水條件和剪下時的排水條件,壓密不排水三軸壓縮試驗可分為不固結不排水剪實驗(UU)、固結不排水剪實驗(CU)等。
1.不固結不排水剪實驗(UU)
試樣在施加周圍應力和隨後施加偏應力直至破壞的整個試驗過程中都不允許排水,這樣從開始加壓直至試樣剪壞,土中的含水量始終保持不變,孔隙水壓力也不可能消散,可以測得總應力抗剪強度指標c,φ。
2.固結不排水剪實驗(CU)
試樣在施加周圍壓力時,允許試樣充分排水,待固結穩定後,再在不排水的條件下施加軸向壓力,直至試樣剪下破壞,同時在受剪過程中,測得土體的孔隙水壓力,可以測得總應力抗剪強度強度指標c,φ和有效應力抗剪強度指標c',φ’。
實驗設備
1.三軸儀
壓密不排水三軸壓縮試驗三軸儀根據施加軸向荷載方式的不同,可以分為應變控制式和應力控制式兩種,目前室內三軸試驗基本上採用的是應變控制式三軸儀。
應變控制式三軸儀由以下幾部分組成(如圖4):
(1)三軸壓力室。壓力室是三軸儀的主要組成部分,它是由一個金屬上蓋、底座以及透明有機玻璃筒組成的密閉容器,壓力室底座通常有3個小孔分別與圍壓系統、體積變形以及孔隙水壓力量測系統相連。
(2)軸向加荷系統。採用電動機帶動多級變速的齒輪箱,或者採用可控矽無級變速,並通過傳動系統使壓力室自下而上的移動,從而使試樣承受軸向壓力,其加荷速率可根據土樣性質和試驗方法確定。
(3)軸向壓力測量系統。施加於試樣上的軸向壓力由測力計量測,測力計由線性和重複性較好的金屬彈性體組成,測力計的受壓變形由百分表或位移感測器測讀。
(4)周圍壓力穩壓系統。採用調壓閥控制,調壓閥控制到某一固定壓力後,它將壓力室的壓力進行自動補償而達到穩定的周圍壓力。
(5)孔隙水壓力量測系統。孔隙水壓力由孔壓感測器測得。
(6)軸向變形量測系統。軸向變形長距離百分表(0~30mm百分表)或位移感測器測得。
(7)反壓力體變系統。由體變管和反壓力穩壓控制系統組成,以模擬土體的實際應力狀態或提高試件的飽和度以及量測試件的體積變化。
2.附屬設備
(1)擊實筒和飽和器
(2)切土盤、切土器、切土架和原狀土分樣器
(3)承膜筒和砂樣製備模筒
(4)天平、卡尺、乳膠膜等
試樣的製備與飽和
1.試樣製備
試樣應切成圓柱性形狀,試樣直徑為Φ39.1mm、Φ61.8mm、Φ101mm、相應的試樣高度分別為80mm、150mm、200mm,試樣高度與直徑的關係一般為2~2.5倍,試樣的允許最大粒徑與試樣直徑之間的關係見下表。
| 試樣直徑D(mm) | 允許最大粒徑d(mm) |
| 39.1 | d<D/10 |
| 61.8 | d<D/10 |
| 101.0 | d<D/5 |
對於較軟的土樣,用鋼絲鋸或切土刀在切土盤上制樣;對於較硬的土,用切土刀和切土器在在切土架上制樣。稱取切削好試樣的質量,準確至0.1g,試樣的高度和直徑用卡尺量測,並按下式計算平均直徑
壓密不排水三軸壓縮試驗式中DDD分別為試樣上、中、下部位的直徑。與此同時,取切下的余土,平行測得含水量,取其平均值為試樣的含水量。
2.試樣飽和
(1)真空抽氣飽和:將試樣裝入飽和器,置於真空缸內,進行抽氣,當真空壓力達到1個大氣壓時,開啟管夾,使清水注入真空缸內,待水面超過飽和器後,即可停止抽氣,然後靜止大約10h左右,使試樣充分吸水飽和。
(2)水頭飽和:將試樣裝入壓力室內,施加20kPa的周圍壓力,使無氣泡的水從試樣底座進入,待上部溢出,水頭高差一般在1m左右,直至流入水量和溢出水量相等為止。
(3)反壓力飽和:試樣飽和度要求較高時採用。
操作步驟
一、不固結不排水剪下。
1.對儀器各部分進行全面檢查,周圍壓力系統、反壓力系統、孔隙水壓力系統、軸向壓力系統是否能正常工作,排水管路是否暢通,管路閥門連線處有無漏水漏氣現象。乳膠膜是否有漏水漏氣現象。
2.拆開壓力室的有機玻璃罩子,將試樣方在試樣底座的不透水圓板上,在試樣的頂部放置不透水試樣帽。
3.將乳膠膜套在承膜筒上,兩端翻過來,用吸咀吸氣,使乳膠膜貼緊承膜筒內壁,然後套在試樣外放氣,翻起乳膠膜,取出承膜筒,用橡皮圈將乳膠膜分別紮緊在試樣底座和試樣帽上,
4.裝上受壓室外罩,安裝時應先將活塞提高,以防碰撞試樣,然後將活塞對準試樣帽中心,並旋緊壓力室密封螺帽,再將測力環對準活塞。
5.向壓力室充水,當壓力室快注滿水時,降低進水速度,當水從排水孔溢出時,關閉排水孔。
6.開空壓機和周圍壓力閥,施加所需的周圍壓力,周圍壓力的大小應根據土樣埋深和應力歷史來決定,也可按100、200300kPa施加。
7.旋轉手輪,當測力環的量表微動,表示活塞與試樣接觸,然後將測力環的量表和和軸向位移量表的指針調整到零位。
8.啟動電動機開始剪下,剪下速率宜為每分鐘應變0.5%~1.0%。80mm高的試樣速率為0.4~0.8mm/min。開始階段,試樣每產生垂直應變0.3~0.4%時記測力環量表讀數和垂直位移量表讀數各一次。當接近峰值時應加密讀數,如果試樣特別鬆軟和硬脆,可酌情減少或加密讀數。
9.當出現峰值後,再進行3%~5%的垂直應變或剪至總垂直應變的15%後停止試驗,若測力環讀數無明顯減少則垂直應變應進行到20%。
10.試驗結束後,關閉電動機,關周圍應力閥,拔開離合器,倒轉手輪,然後打開排氣孔,排去壓力室內的水,拆去壓力室外罩,取出試驗,描述試樣破壞的形狀,並測得試驗後的密度和含水量 。
11.重複以上步驟分別在不同的圍壓下進行第二、三、四個試樣的試驗。
二、固結不排水剪下:
1、打開反壓排水閥(向右,確保加壓帽暢通)→固定土樣→上升壓力室直到與測力環接觸;
2、注水:打開壓力室上面的排氣塞、壓力室閥(注水)、壓力室注水閥→開動水泵開始注水→待排氣塞有水溢出時關閉水泵、排氣塞、壓力室閥(注水)、壓力室注水閥 ;
3、固結:調整反壓力管的水位和土樣中心線相齊平,讀取反壓力管的初始水位→打開反壓排水閥,開始固結→當孔壓值消散到圍壓的5%左右時(孔壓值在固結過程中讀取),固結結束→記錄反壓力管的刻度,關閉反壓排水閥 ;
4、剪下:根據規程設定圍壓數值→打開圍壓注水閥→逆時針旋轉手輪到底→關閉圍壓注水閥→打開圍壓閥→順時針旋轉手輪至圍壓設定值→擰緊手輪上的螺帽→點擊控制器上的穩壓→調整兩個百分表歸零→根據規程設定速率→點擊控制器上的上升、開始剪下→記錄位移計每走2mm對應測力計的讀數→點擊控制器上的停止速率、停止穩壓 ;
5、卸壓排水:打開壓力室閥(排水)→輕輕打開壓力室排水閥→關閉圍壓閥→打開壓力室上的排氣塞→開動水泵開始排水→下降主機壓力室→取出土樣。
資料整理
1.為使實驗資料可靠和適用,應進行正確的數據分析和整理。整理時對實驗資料中明顯不和理的數據,應通過研究,分析原因(試樣是否具有代表性、試驗過程中是否出現異常情況等)或在有條件時,進行一定的補充試驗後,可決定對可疑數據取捨或改正。
2.捨棄實驗數據時,應根據誤差分析或機率的概念,按三倍標準差(即±3s)作為捨棄標準,即在資料分析中應該捨棄那些在±3s以外的測定值,然後重新計算整理。
3.土工實驗測得的土性指標,可按其在工程設計中的實際作用分為一般特性指標和計算指標。前者如土的天然密度、天然含水量、土粒比重、顆粒組成、液限、塑限、有機質、水溶鹽等,系指作為對土分類定名和闡明其物理化學特性的土性指標;後者如土的粘聚力、內摩擦角、壓縮係數、變形模量、滲透係數等,系指在設計計算中直接用於確定土體的強度、變形和穩定性等力學性的土性指標。
4.對一般性指標的成果整理,通常可採用多次測定值的算數平均值,並計算出相應的標準差和變異係數,以反映實際測定值對算數平均值的變化程度,從而判別其採用算數平均值的可靠性。
5.對主要計算指標的成果整理,如果測定的組數較多,此時指標的最佳值接近於諸測值的算數平均值,仍可按一般特性指標的方法強度其設計計算值,即採用算數平均值。但通常由於試驗的數據較少,考慮到測定誤差、土體本身的不均勻性和施工質量的影響等,為安全考慮,對初步設計和次要建築物宜採用標準差平均值,即對算數平均值加(或減)一個標準差的絕對值。
6.對不同應力條件下測得的某種指標(如抗剪強度)應經過綜合整理求取。在有些情況下,尚需求出不同土體單元綜合使用時的計算指標。這種綜合性的土性指標,一般採用圖解法或最小二乘方分析法確定。
(1)圖解法:將不同應力條件下測得的指標值(如抗剪強度)然後以不同的應力為橫坐標,指標平均值為縱坐標作圖,並求得關係曲線,確定其參數(如土的粘聚力和角摩擦係數)
(2)最小二乘方分析法:根據各測定值同關係曲線的偏差的平方和為最小的原理求取參數值。
(3)當設計計算幾個土體單元土性參數的綜合值時,可按土體單元在設計計算中的實際影響,採用加權平均值.
7.實驗報告的編寫應符合下列要求:
(1)編寫試驗報告所依據的試驗數據,應進行整理、檢查、分析、經確定無誤後方可採用。
(2)實驗報告所需提供的依據,一般應包括根據不同建築物的設計和施工的具體要求所擬試驗的全部土性參數。
(3)實驗報告的內容應包括:試驗方法的簡要說明(工程概況,所需解決的問題以及由此對試樣的採制,試驗項目和試驗條件提出的要求),實驗數據和基本結論。
(4)實驗報告中一律採用國家頒布的法定計量單位。

