產生及推導
劍橋模型
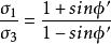
劍橋模型是英國劍橋大學的Roscoe和Burland根據正常固結粘土和弱超固結粘土的三軸試驗,採用狀態邊界面的概念,由塑性理論的流動法則和塑性勢理論,採用簡單曲線配合法,建立塑性與硬化定律的函式。它考慮了靜水壓力屈服特性、壓硬性、剪縮性,但破壞面有尖角,該點的塑性應變方向不易確定。其假定的彈性牆內載入仍會產生塑性變形。
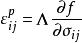
圖1 劍橋模型示意圖試驗證明,對於正常固結粘土和弱固結的飽和重塑粘土,孔隙比e與外力p,q之間存在有唯一的關係,且不隨應力路徑而發生變化(這是通過p為常數的試驗、固結排水試驗和固結不排水試驗,得出的試驗破壞結果在p-q上的投影點連線斜率相等推導得出的),這個面叫作邊界狀態面。它可以看作由無數條不同應力比(p/q)的正常壓縮曲線組成的。劍橋模型在e-p-q空間坐標的圖形如圖1。
修正劍橋模型
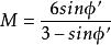
修正劍橋模型圖1中ACEF就是狀態邊界面的一部分,AC線是在σ=σ=σ(即q=0)時的e-p曲線,即為原始三向等壓力固結線,簡稱為VICL線,而EF線是q為最大值各點的連線,稱為臨界狀態線,簡稱為CSL線,它在p-q平面上的投影是通過原點的一條直線:q=Mp,對於正常壓密粘土,考慮到 ,可得到 ,EF線在e-p曲線上的投影為e=e-λlnp,而AC和EF之間為一系列的不同應力比的曲線,將這些曲線繪製在e-lnp平面上,就構成了斜率均為λ的直線。同理,當正常固結壓縮狀態卸荷時,可得到不同應力比的回彈曲線,膨脹曲線在e-lnp平面上的投影時一系列的斜率為k的平行直線。從正常壓縮狀態卸荷,狀態邊界面為與q無關的鉛直面,稱為彈性牆,彈性牆與狀態面有一交線,該交線在p-q平面上的投影曲線稱為屈服軌跡,其方程為屈服函式。
修正劍橋模型的推導
圖2
修正劍橋模型
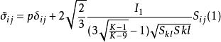
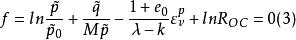
修正劍橋模型修正劍橋模型也是建立在狀態面理論基礎上的,其所用強度理論為擴張Mises準則。但是,大量的研究結果表明,一般的岩土材料並不服從擴張Mises準則。通過應力變換的方法,將σ應力空間中的松岡-中井準則(如圖2)變換到應力空間中,使變換後的松岡-中井準則(SMP準則)在的主應力空間中具有和劍橋模型的廣義Mises準則一樣的形狀,從而,可以使SMP準則和修正的劍橋模型有機地融為一體,這種通過應力變換方法得到的融合修正劍橋模型稱為SMP修正劍橋模型。所用的應力空間變換關係為
修正劍橋模型
修正劍橋模型式中: 為變換應力張量;I為第一應力不變數;S為偏差應力張量;p為平均應力;δ為單位張量;K可以寫成K=II/I,其中I、I和I分別為3個應力不變數。
修正劍橋模型因此, 修正劍橋模型在 應力空間中的屈服函式可以表示為
修正劍橋模型
修正劍橋模型
修正劍橋模型
修正劍橋模型
修正劍橋模型
修正劍橋模型
修正劍橋模型式中: 和 為 應力空間中的平均有效應力和剪應力; 為 的初值; 為塑性體積應變,是該模型的一個狀態量;M、e、λ和κ是該模型的材料參數。
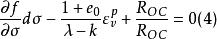
下面根據子負荷面的研究成果,在SMP修正劍橋模型中追加一個反映超固結土變形特性的狀態量lnR , 則屈服函式式(2)可以改寫成
修正劍橋模型式中:R為土的超固結比,對於正常固結黏土R=1,屈服函式和式(2)完全一致。
根據塑性理論, 屈服函式式(3)的Prager一致性條件(Consistency Condition)可以表示為
修正劍橋模型狀態量R的演化規則可以假定如下
修正劍橋模型式中:G(d)= ad
a為模型的材料參數;d 為超固結比的函式,可以表示為,d =(λ-κ)lnR;塑性應變速率可以表示為,
修正劍橋模型
修正劍橋模型為塑性乘子。
傳統的單屈服面模型只可能反映卸載時的彈性變形和載入時的塑性硬化變形,不可能反映應變軟化情況。
三軸試驗驗證
先將飽和的藤森黏土試樣加壓進行等向固結,然後,卸載使試樣達到一定的超固結比,最後,在保持平均有效應力一定的條件下,載入使試樣達到剪下破壞為止。為了檢驗本文的模型,分別設計了OCR等於1、2、4和8的藤森黏土三軸壓縮和伸長剪下試驗方案,其中,OCR=8的試驗方案由於受載入條件的限制,採用較小的平均有效應力,為98kPa,其餘3個試驗方案的平均有效應力全部為196kPa。三軸壓縮試驗為施加軸向應力、減少室壓使平均有效應力保持不變,三軸拉伸試驗則為施加室壓、減少軸向壓應力使平均有效應力在整個試驗過程中保持不變。
總結
擴展後的修正劍橋模型所用的材料參數和劍橋模型一樣,可以利用簡單的固結試驗和小主應力保持恆定的排水剪試驗確定。
圖3、4圖3中分別表示OCR等於1、2、4和8的藤森黏土在平均有效應力p一定條件下的三軸壓縮試驗結果 (Observed)和SMP修正劍橋模型預測結果,為了便於和中井的子負荷面模型進行比較,圖中同時給出了中井子負荷面模型的預測結果(T)。橫坐標表示剪下應變,縱坐標的左、右兩軸分別表示剪應力和平均應力之比及體積應變。從圖3可以看出,擴展後的SMP修正劍橋模型可以用較少的模型參數,較好地反映超固結黏性土的體積剪脹特性和正常固結土的體積剪縮特性。同時,這個結果和三軸試驗結果接近,剪應力比曲線也和三軸試驗結果相近,說明擴展後的SMP修正劍橋模型可以用於超固結黏性土的應力、應變分析中。另外,從圖中還可以看出,中井的子負荷面模型比SMP修正劍橋模型有更高的精度,其中的主要原因是因為兩個模型所採用的剪脹關係有一定的差異。
圖4中分別表示OCR等於1、2、4和8的藤森黏土在平均有效應力p一定條件下三軸伸長的試驗結果和SMP修正劍橋模型預測結果。從圖4可以看出,該SMP修正劍橋模型同樣可以較好地反映超固結黏土在伸長應力路徑下的體積剪脹特性和正常固結土的體積剪縮特性,並且和三軸試驗的結果接近。
結論
為了使SMP修正劍橋模型能夠反映超固結黏性土的強度和體積剪脹特性,利用子負荷面本構模型的最新研究成果在原屈服函式中加入了一個描述超固結黏土的變形和強度特性的參數(超固結比),同時,假定了超固結比隨塑性應變而變化的演化規則,最後,通過和三軸試驗結果及中井的子負荷面模型預測結果的比較,得到了如下結論:
(1)擴展SMP修正劍橋模型可以反映正常固結土的體積剪縮特性和超固結土的體積剪脹特性。該模型不僅對預測三軸壓縮試驗結果有效,而且對預測三軸伸長試驗結果同樣有效。
(2)擴展後的修正劍橋模型只增加一個和超固結比的演化有關的材料參數,模型其它參數的確定方法及具體數值和原劍橋模型一致。
(3)該擴展SMP修正劍橋模型形式簡單,可以用於一般超固結土的應力應變數值分析。
(4)SMP修正劍橋模型雖然對模型所用破壞準則進行了修正,但是,剪脹關係還是沿用了原來模型中的形式。
