提出者
薛丁格(Schr dinger,1887—1961年)
埃爾溫·薛丁格薛丁格,1887年8月12日出生於奧地利首都維也納。1906年至1910年,他就學於維也納大學物理系。1910年獲得博士學位。畢業後,在維也納大學第二物理研究所從事實驗物理的工作。第一次世界大戰期間,他應徵服役於一個偏僻的炮兵要塞,利用閒暇時間研究理論物理。戰後他仍回到第二物理研究所。1920年他到耶拿大學協助維恩工作。1921年薛丁格受聘到瑞士的蘇黎世大學任數學物理教授,在那裡工作了6年,薛丁格方程就是在這一期間提出的。
1927年薛丁格接替普朗克到柏林大學擔任理論物理教授。1933年希特勒上台後,薛丁格對於納粹政權迫害愛因斯坦等傑出科學家的法西斯行為深為憤慨,移居牛津,在馬達倫學院任訪問教授。同年他與狄拉克共同獲得諾貝爾物理學獎。
1936年他回到奧地利任格拉茨大學理論物理教授。不到兩年,奧地利被納粹併吞後,他又陷入了逆境。1939年10月流亡到愛爾蘭首府都柏林,就任都柏林高級研究所所長,從事理論物理研究。在此期間還進行了科學哲學、生物物理研究,頗有建樹。出版了《生命是什麼》一書,試圖用量子物理闡明遺傳結構的穩定性。1956年薛丁格回到了奧地利,被聘為維也納大學理論物理教授,奧地利政府給予他極大的榮譽,設定了以薛丁格命名的國家獎金,由奧地利科學院授給。
定義
基本方程
基本方程
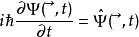
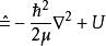
基本方程薛丁格方程(Schrdinger equation)是由奧地利物理學家薛丁格提出的量子力學中的一個基本方程,也是量子力學的一個基本假定,其正確性只能靠實驗來檢驗。,其中中上面的三角是哈密頓算符。並且,U是系統的勢能。
定態薛丁格方程
基本方程
基本方程
基本方程
基本方程
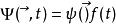
基本方程在量子力學中,一類基本的問題是哈密頓算符\hat不是時間的函式的情況。這時,可以分解成一個只與空間有關的函式和一個只與時間有關的函式乘積,即。把它帶入薛丁格方程,就會得到。而則滿足如下方程:
套用
量子力學中求解粒子問題常歸結為解薛丁格方程或定態薛丁格方程。薛丁格方程廣泛地用於原子物理、核物理和固體物理,對於原子、分子、核、固體等一系列問題中求解的結果都與實際符合得很好。
薛丁格方程僅適用於速度不太大的非相對論粒子,其中也沒有包含關於粒子自旋的描述。當計及相對論效應時,薛丁格方程由相對論量子力學方程所取代,其中自然包含了粒子的自旋。
基本方程
基本方程
基本方程
基本方程
基本方程.薛丁格提出的量子力學基本方程 ,建立於 1926年。它是一個非相對論的波動方程。它反映了描述微觀粒子的狀態隨時間變化的規律,它在量子力學中的地位相當於牛頓定律對於經典力學一樣,是量子力學的基本假設之一。設描述微觀粒子狀態的波函式為,質量為m的微觀粒子在勢場中運動的薛丁格方程為。在給定初始條件和邊界條件以及波函式所滿足的單值、有限、連續的條件下,可解出波函式。由此可計算粒子的分布機率和任何可能實驗的平均值(期望值)。當勢函式U不依賴於時間t時,粒子具有確定的能量,粒子的狀態稱為定態。定態時的波函式可寫成式中稱為定態波函式,滿足定態薛丁格方程,這一方程在數學上稱為本徵方程,式中E為本徵值,是定態能量,又稱為屬於本徵值E的本徵函式。
求解方法
有限差分法
針對量子力學中大多數量子體系的哈密頓算符都比較複雜,薛丁格方程均不能得到嚴格解或分析解的問題,提出了用數學中的有限差分法來解決計算量子力學中薛定額方程的本徵問題。對普通的徑向薛丁格方程和含時的薛丁格方程進行了有限差分法的分析,給出了兩種薛丁格方程的有限差分法的離散方程,並以線性諧振子為例,進行了計算機編程推算。結果表明,該方法在研究量子力學問題中具有廣泛的套用前景。
因式分解法
利用德·拉·佩納等人關於階梯算符方法的表述形式,可以使因式分解法的步驟規範化,以利於在初等量子力學和量子化學教學中廣泛套用。我們把這種方法套用於球坐標下的自由粒子、三維各向同性諧振子和二維氫原子,得到令人滿意的結果。
