色譜分離基本方程
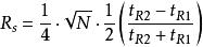
色譜分離基本方程R 是兩峰之間的解析度
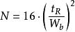
N 是理論塔板數
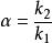
α 是兩峰之間的分離因子(Separation factor)
k2 是第二個峰的容量因子(Retention factor)
k(avg)是兩個峰平均容量因子
一般來說,解析度越高,分離的效果越好。
色譜解析度的定義
色譜解析度的定義 :
色譜解析度又稱分辨度,是定量描述混合物中相鄰兩組分在色譜柱中分離情況的主要指標。
色譜分辨等於相鄰兩組分色譜峰保留值之差與兩個組分色譜峰基線寬度總和之半的比值:
色譜分離基本方程式中:
tR(1)、tR(2)分別為兩組分保留時間;
Wb(1)、Wb(2)為相應組分在基線上的寬度,與保留時間用同樣單位。
色譜解析度標誌著色譜柱對某一物質對分離的效能。
Rs值的大小表示意義:
Rs值≥1時,兩個峰有比較明顯的分離。
Rs=1.5時,兩個峰完全分離。
色譜解析度概括了色譜過程的動力學特性和熱力學特性,比較全面地評述了柱效能。
公式推導
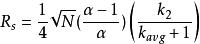
色譜分離基本方程將理論塔板數計算公式代入定義式(其中,tR是溶質從進樣到最大洗脫峰出現的時間,Wb為該溶質的洗脫峰在基線處的寬度。),得
色譜分離基本方程
色譜分離基本方程
色譜分離基本方程由分離因子的定義和容量因子的定義(這裡tR‘是組分調整保留時間,tM是死時間),代入上述公式,即得色譜分離基本方程。
