簡介
Perpendicularaxistheorem,在物理學裡,垂直軸定則可以用來計算一片薄片的轉動慣量.思考一個直角座標系,其中兩個座標軸都包含與平行於此薄片;如果已知此薄片對於這兩個座標軸的轉動慣量,則垂直軸定則可以用來計算薄片對於第三個座標軸的轉動慣量。
概述
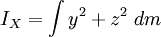
假設OXYZ座標系統的X-軸與Y-軸都包含與平行於此薄片,而Z-軸垂直於薄片的面。與分別代表薄片對於X-軸與Y-軸的轉動慣量.那么,薄片對於Z-軸的轉動慣量為。
垂直軸與
垂直軸伸展定則可以用來計算許多不同形狀的物體的轉動慣量。
垂直軸定則、平行軸定理、與伸展定則可以用來計算許多不同形狀的物體的轉動慣量。
導引
厚度很薄的薄片任何實際存在的剛體都有厚度;不可能有零厚度的剛體。參考右圖,假設這剛體是一塊很薄的薄片,厚度是均勻的,密度也是均勻的。設定薄片的面與XY-面共平面。那么,剛體對於X-軸、Y-軸、與Z-軸的轉動慣量分別為
![]() |
![]() |
![]() |
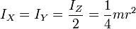
由於厚度超小於薄片的面尺寸,我們可以忽略
垂直軸對於積分的貢獻.因此,
垂直軸所以,對於X-軸與Y-軸的轉動慣量是
|




