中文名稱:均勻剛體的轉動慣量
英文名稱:Moment of inertia of uniform rigid body
定義及摘要:
均勻剛體的轉動慣量
in ertia of
中文名稱:均勻剛體的轉動慣量
英文名稱:Moment of inertia of uniform rigid body
定義及摘要:
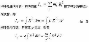
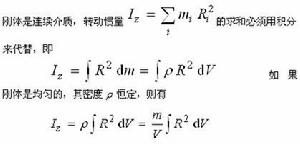
均勻剛體的轉動慣量轉動慣量(Moment of Inertia)是剛體繞軸轉動時慣性(迴轉物體保持其勻速圓周運動或靜止的特性)的量度,用字母I或J表示。 在經典力學中,轉...
基本含義 相關定理 動力學公式 張量定義 實驗測定對於一個有多個質點的系統,若該系統由剛體組成,可以用無限個質點的轉動慣量和,即用積分計算其轉動慣量。以下列表給出了常見物理模型的轉動慣量。
簡介 常見物理模型的轉動慣量 相關術語,yi,zi),則剛體對軸l的轉動慣量為 式中為剛體對坐標軸Ox、Oy、Oz的轉動慣量。 稱為慣性積。慣性積也依賴於剛體的質量、質量分布和各坐標軸...ML2。 剛體對過坐標原點O 的任意軸l的轉動慣量I由六個量Ix...
簡介 正文 配圖 相關連線平面 。那么,剛體對於 X-軸、Y-軸、與 Z-軸的轉動慣量分別為...定則一樣, 垂直軸定理可以用來計算許多不同形狀的物體的轉動慣量。1.剛體的一般性垂直軸定理為求三度剛體,特別是圓柱體和鏇轉體的轉動慣量提供了一種...
概念 證明 實例 套用 相關知識工程力學日新月異地發展。質點、質點系及剛體力學是理論力學的研究對象。所謂剛體是指一種理想化的固體,其大小及形狀是固定的,不因外來作用而改變,即...基本概念、簡單力系、平面任意力系、空間力系等內容,主要研究受力分析和剛體...
歷史發展 研究領域 研究方法 理論分析 歷史沿革剛體動力學§6.1 轉動慣量§6.2 轉動動力學§6.3 角動量的進動...運動學§3-3 剛體運動學習題第四章 時間和空間的相對性§4-1 經典時空... 角動量角動量守恆定律§6-2剛體定軸轉動進動習題第七章機械能守恆定律...
北郵版 高教版 華科大版 高教版2 科學版剛體動力學§6.1 轉動慣量§6.2 轉動動力學§6.3 角動量的進動... 剛體運動學習題第四章 時間和空間的相對性§4-1 經典時空變換§4-2...角動量守恆定律§6-2剛體定軸轉動進動習題第七章機械能守恆定律相對論動力學...
北郵版 高教版 高教版2 高教版3 華科大版3.6.2 機械能守恆定律 習題 第4章 剛體力學基礎 4.1 剛體的基本運動 4.2 角動量和角動量守恆定律 4.3 剛體定軸轉動的動能定理 4.4 剛體定軸轉動定律和角動量定理 習題...
圖書信息1 圖書信息2 圖書信息3 圖書信息4 圖書信息53.6.1 質點系的功能原理3.6.2 機械能守恆定律習題第4章 剛體力學基礎4.1 剛體的基本運動4.2 角動量和角動量守恆定律4.3 剛體定軸轉動的動能定理4.4 剛體定軸轉動定律和角動量定理習題第5章 靜電場和...
圖書信息1 圖書信息2 圖書信息3 圖書信息4 圖書信息5