簡介
轉動慣量列表對於一個有多個質點的系統, 。若該系統由剛體組成,可以用無限個質點的轉動慣量和,即用積分計算其轉動慣量。以下列表給出了常見物理模型的轉動慣量。
值得注意的是,不應將其與截面慣量(又稱截面二次軸矩(second axial moment of area),截面矩(area moment of inertia)混淆,後者用於彎折方面的計算。以下之轉動慣量假設了整個物體具有均勻的常數密度。
常見物理模型的轉動慣量
| 描述 | 轉動慣量 | 註解 |
| 兩端開通的薄圓柱殼, 半徑為 r,質量為 m | 轉動慣量列表 | 此表示法假設了殼的厚度可以忽略不計。此為下一個物體,當其r=r時的特例。 |
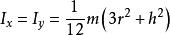
| 兩端開通的厚圓柱, 內半徑 r,外半徑 r, 高 h,質量 m | 轉動慣量列表 轉動慣量列表 | — |
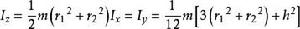
| 實心圓柱, 半徑為 r,高 h, 質量 m | 轉動慣量列表 轉動慣量列表 | 此為前面物體,當其r=0時的特例。 |
| 薄圓盤,半徑為 r, 質量 m | 轉動慣量列表 轉動慣量列表 | 此為前面物體,當其h=0時的特例。 |
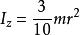
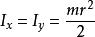
| 圓環,半徑為 r, 質量 m | 轉動慣量列表 轉動慣量列表 | 此為後面環面,當其b=0時的特例。 |
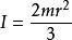
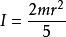
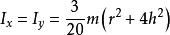
| 實心球,半徑為 r, 質量 m | 轉動慣量列表 | — |
| 空心球,半徑為 r, 質量 m | 轉動慣量列表 | — |
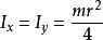
| 圓錐,半徑為 r,高 h, 質量 m | 轉動慣量列表 轉動慣量列表 | — |
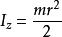
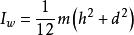
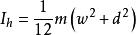
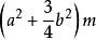
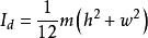
| 實心長方體,高 h, 寬 w,長 d,質量 m | 轉動慣量列表 轉動慣量列表 轉動慣量列表 | 邊長為 s的立方體的轉動慣量 轉動慣量列表 |
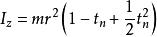
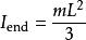
| 細棒,長L,質量m | 轉動慣量列表 | 此表示法假設了棒的寬度和厚度可以忽略不計。此為前面物體,當其w=L,h=d=0時的特例。 |
| 細棒,長L,質量m | 轉動慣量列表 | 此表示法假設了棒的寬度和厚度可以忽略不計。 |
| 環面,圓管的半徑 a, 截面的半徑 b,質量 m。 | 關於直徑: 轉動慣量列表 轉動慣量列表 | — |
| 薄多邊形,質量m。 | 轉動慣量列表 | — |
相關術語
•轉動慣量
•截面慣量列表
•慣量張量列表

轉動慣量列表
轉動慣量列表
轉動慣量列表
轉動慣量列表
轉動慣量列表
轉動慣量列表
轉動慣量列表
轉動慣量列表
轉動慣量列表
轉動慣量列表
轉動慣量列表
轉動慣量列表
轉動慣量列表
轉動慣量列表
轉動慣量列表
轉動慣量列表
轉動慣量列表
轉動慣量列表
轉動慣量列表
轉動慣量列表
轉動慣量列表 