地面車輛力學研究各種越野車輛與地面、地形之間關係地面車輛力學是研究各種越野車輛(越野汽車、拖拉機、農業用汽車和工程用車輛、裝甲車、坦克等)與地面、地形之間的關係,以改進車輛設計並提高其通過性的一門邊緣學科。
研究簡史
軍用越野貨車人們認為,只要加大輪胎或履帶的接地面積(如增加輪胎數、降低輪胎氣壓或加大輪胎或履帶的尺寸)以減輕對地面的單位壓力,並加大發動機功率以提高驅動力,車輛就能有良好的通過鬆軟地面的能力。根據這一概念曾設計出3軸10輪(雙後軸,每軸端各裝雙輪胎,10輪驅動)軍用越野貨車。在第二次世界大戰中使用結果表明:在同樣的軸荷下,雙輪胎的行駛阻力加大,效果不佳。這就引起人們開始系統地研究輪胎、履帶等在各種地面上的驅動力、阻力、下陷和滑轉及滑移等的變化規律和相互關係,以解決越野車輛設計問題。
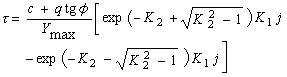
1940年,德國R.伯恩斯坦用公式q=KZ 1/2表示下陷量Z與單位接地面積壓力q的關係(K為土壤變形模量),後來的研究者將公式普遍化為q=KZn。1944年,英國的E.W.E.麥可思韋特提出,車輛的最大驅動力F,可以從C.A.de庫侖土壤剪下應力公式τ=c+qtgφ(c為土壤單位面積內聚力;φ為土壤內摩擦角)推導而得,即F=cA+qAtgφ(A為接地面積)。在加拿大國防部工作的M.G.貝克在此基礎上進一步研究了土壤承載能力的穩定性,以及土壤塑性變形所引起的行駛阻力等問題,並提出更精確而普遍的公式 

式中b為載入面積的寬度或半徑;Kс、Kф分別為土壤內聚變形模量和摩擦變形模量;K2、K1為實際測定的係數;Ymax是τ的表達式右端括弧內部分的最大值,當此值達到最大時,即為庫侖公式τ=c+qtgφ;徴為產生剪應力τ的土壤變形量。此式主要用於粘性不大的土壤。1960年貝克將行走過程分解為載入和剪下過程,分別用承壓儀和剪下儀測量土壤的Kс、Kф、n、c、φ和K 6個參數,這6個參數稱為貝氏值。1961年,英國的A.R.里斯提出適用於塑性土壤的τ值簡化公式,K為土壤水平變形模量。
貝克、里斯等的研究和試驗,使地面車輛力學由經驗和直接試驗階段進入了試驗與理論結合較密切的半經驗階段。現代有的研究者嘗試從土壤力學的基本理論出發來分析機器土壤力學關係。如里斯等認為英國劍橋大學土壤力學小組提出的土壤臨界狀態理論已使土壤應力和孔隙變化相聯繫,對研究滑轉變形很適用,很有發展前途。另外,還有借用流變學理論建立的土壤流變學模型等。 貝克首先提出地面車輛力學理論,建立了試驗方法,1956年出版了有關地面車輛力學的第一本專著《陸用車輛行駛原理》。他被公認為這一學科的創立者。
1961年,美國和義大利陸軍在都靈召開第一次國際性地面車輛力學學術會議。1962年,成立國際地面車輛系統學會。中國從60年代開始這一學科的研究,主要注意水田拖拉機和耕作機械設計,研製水、旱田土壤參數測量儀器,研究水田土壤的流變性質和土壤在行走機構的金屬上粘附現象。1982年成立了地面機械系統研究會。
套用
用土壤車輛力學的基本公式可以計算出車輛在不同的載荷和滑轉係數下的驅動力、下陷量和運動阻力,並推導出一些重要的新概念。例如,在沙地(內聚力c=0)上車輛的最大驅動力只與其重量W(=qA)有關,而與接地面積A無關;在泥漿(摩擦角φ=0)上最大驅動力只與接地面積A有關,而與重量W無關。又如對於接地面積A,如寬度大而長度小,則容易出現滑轉,行駛效率不高。貝克還從動物的運動方式和相應的能量消耗對比推論,認為列車式是越野車輛的合理的車輛形態。 根據這一理論研製出一些新車型,如在雪地行駛的囊式輪胎列車,在沼澤地行駛的無腹式履帶車和間隔式履帶板,螺鏇推進式汽車,在月球上行駛的月球車(MO-LAB)等。在中國, 利用這一理論研製出機耕船、水田拖拉機等。
試驗方法
越野貨車地面車輛力學從一開始就是一門理論與試驗並重的學科。美國陸軍水道試驗站 (WES)於1942年用標準圓錐儀壓入土壤,其單位底面積上的平均壓力即為圓錐指數。這個試驗站還對細粒土壤規定了重塑試驗(將欲測土壤不經擾動裝入一小圓筒,以規定的重錘自規定的高度落下,按規定次數來回捶擊,稱為重塑)。將重塑後的圓錐指數與重塑前的圓錐指數相比,稱為重塑指數。土壤的可行駛性是以額定圓錐指數來表示的,額定圓錐指數是圓錐指數與重塑指數的乘積。為了可與土壤比較,又為各種車輛定出車輛圓錐指數。
它是車輛在同一車轍中通過50次後的土壤的最小額定圓錐指數。它受車重、行走機構類型、發動機功率、傳動型式及地隙等因素的影響。只要土壤的額定圓錐指數等於或大於車輛圓錐指數,車輛就能在這種土壤上行駛。 圓錐穿入度儀結構簡單,套用很普遍,可用飛機投擲,其尾部結構可以按穿入深度而使不同顏色的翼片張開,能快速查明大面積地面的土壤可行駛性。 貝克建立陸地行駛實驗室,創製測定土壤參數的貝氏儀,並用10年時間建立了一套地面值。各國的地面力學實驗室都設定模擬土壤槽、測力車和其他試驗設備,以測定土壤參數和土壤與車輛行走機構之間的力的關係。
發展
地面車輛力學的研究工作開展得較為廣泛,主要課題有:土壤參數測定方法和測繪可行駛性地圖;研究土壤的基本力學性質;用各種新技術如有限元法計算土壤的變形和應力;研究輪胎、履帶與土壤的相互作用力;車輛駛過不平路面時的振動特性,越野經濟性及其評價指標等。這些研究課題涉及車輛的動力學、靜力學、土壤力學、統計理論、農業科學、軍事科學和系統工程等。
區別
研究各種越野車輛與地面、地形之間的關係地面—車輛系統力學的理論,並不斷地用現場試驗來校核、修正。貝克的研究方法即屬此類,套用較廣。基本理論研究法用塑性理論或有限元法來研究 地面與車輛行走系統的相互作用。這方面的研究目前剛開始起步。模型試驗和因次分析法用模型試驗來尋求和驗證地面與車輛性能間的相互關係。把自然物理現象中與車輛行駛過程有關的因素按一定比例縮小後,放到 試驗室的土槽中進行觀察測量,然後再把結果按一定比例放大,從而得到產生於原型中的物理現象。這種方法可以很好地控制所有參數和試驗條件,對於一些 簡單的基本概念可以很快進行推斷,並可消除或減少 某些干擾因素。模型試驗的理論基礎是因次分析。這種方法的主要問題是地面性質的模型化問題。有兩種解決辦法:一種是使用將地面性質按一定比例縮小的人工土坡,另一種是採用崎變模型。
計算機模擬及仿真法將用以描述地面、車輛、駕駛員的各種變數,在模擬計算時輸人電子計算機;輸出數據為給定地麵條件下的實際最大車速或限制車速。 如把影響變數的組合因素看成是一個獨立的參數,就可繪製出車輛沿特定路線可能行駛的速度分布圖。這是一種研究地面一車輛系統力學的最新方法,其最終目的是建立一個適合於計算機的程式並可用簡單數學 式表示的預測系統。 地面一車輛系統力學(terrain·vehicle, tem meehanies)研究和定量描述各種車輛 括拖拉機、自走式機械等)與地面間力學關係的學 藉以建立地面一車輛系統的數學模型;分析研究j 內的關鍵環節,進行系統分析;使各種車輛的設計擇和運用實現最最佳化。
地面車輛力學從一開始就是一門理論與試驗並重的學科。地面車輛力學的研究工作開展得較為廣泛,用土壤車輛力學的基本公式可以計算出車輛在不同的載荷和滑轉係數下的驅動力、下陷量和運動阻力,並推導出一些重要的新概念。地面車輛力學是研究各種越野車輛與地面、地形之間的關係,以改進車輛設計,提高其通過性的一門邊緣學科。

