簡介
為了便於計算和繪圖,通過大地測量推得多種近似於大地水準面的橢球面,作為地球形狀的數學模型,並稱為參考橢球 。
地心緯度為參考橢球上一觀測點和橢球中心的連線與赤道平面之間的夾角。
地心緯度右圖是一個子午面(過觀測點和地軸的參考橢球截面)。O是地心,x軸在子午面內,y軸指向北極。M是參考橢球上的任意一點,Mn垂直於參考橢球表面,即Mn是參考橢球表面的一條法線。
地心緯度就是地心緯度(Geocentric Latitude),它是地心垂線MO與赤道平面的夾角。
另外兩個角度分別是:
地心緯度是地理緯度(Geographic Latitude),它是法線Mn與赤道平面的夾角。
地心緯度是歸化緯度(Reduced Latitude),它是M'O與赤道面的夾角。M'M垂直於x軸,且M'O的長度等於地球長半軸。
關係
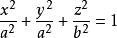
地心緯度設參考橢球方程為:(其中a為長半徑,b為短半徑)
地心緯度
地心緯度
地心緯度1)地心緯度與歸化緯度的關係
地心緯度
地心緯度如右圖和簡介中的右圖可得,點M的坐標為(L為經度),將x和y帶入參考橢球方程可得。
地心緯度
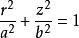
地心緯度由點M的x和y坐標可知緯線半徑,由此可得到點M所在的子午橢圓的表達式為:
地心緯度
地心緯度
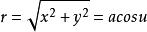
地心緯度對於地心緯度和地心半徑有:。
地心緯度所以。
地心緯度
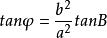
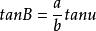
地心緯度2)地心緯度與地理緯度的關係
地心緯度為方便起見,取L=0的起始子午面,則點M的坐標為:
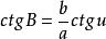
又由右圖可得到起始子午圈上點M切線的斜率為
地心緯度
地心緯度微分得
地心緯度
地心緯度
地心緯度即,由1)中可知。
特性
由於經線的曲率自赤道向兩極減少,一個地方的地心緯度總不大於它的地理緯度,特別在南北緯45°的地方,在那裡,二者的差值達11'.5之多。
自赤道到南北緯45°,地心緯度始終小於地理緯度,而且,二者的差值隨著緯度的增高而增加;自南北緯45°到南北兩極,地心緯度仍舊小於地理緯度,但二者的差值隨緯度的增加而減小。

