概述
大地緯度,指的是將地球表麵點投射到地球橢球體上,投影點法線方向與赤道平面的夾角為該點的大地緯度。大地緯度和大地經度一起可以確定地球表麵點在地球橢球體上的位置。
天文-大地測量研究結果表明,最接近大地體的數學形體是具有微小扁率的旋轉橢圓體,它以地心為中心,連線南、北兩極的極軸為旋轉軸,這種橢圓體叫做地球橢圓體(或參考橢圓體)。所謂子午線(或經線),就是用通過旋轉軸的平面來截割地球橢圓體表面得出的一組截線,這些截線是彼此相同的橢圓(圖1):
大地緯度
大地緯度
大地緯度長軸在赤道面上,短軸即極軸。這種橢圓就叫做子午橢圓。
圖1
大地緯度
大地緯度
大地緯度
大地緯度
大地緯度
大地緯度設是其中某個橢圓上的任意一點。這橢圓在點的切線是,法線(與切線垂直)是,法線與赤道平面所構成的角叫做點的大地緯度。
數學表示
大地緯度
大地緯度
大地緯度
大地緯度在測量學和製圖學中,需要把橢圓在點的弧微分和曲率半徑表示成大地緯度的表達式。討論如下。
大地緯度
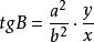
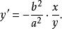
大地緯度如圖1,切線和橫坐標的交角為。根據導數的幾何意義,有
大地緯度和
大地緯度相比較,就得到
大地緯度或
大地緯度由解析幾何知道,橢圓的離心率(第一離心率)為
大地緯度因而有
大地緯度
大地緯度代入的式子,就得到
大地緯度
大地緯度
大地緯度
大地緯度
大地緯度
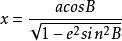
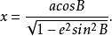
大地緯度為了把點的橫坐標和縱坐標表示成緯度的函式,將上式代入,有
大地緯度或
大地緯度
大地緯度
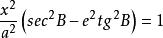
大地緯度在這個等式中,用的式子來表示比值,有
大地緯度
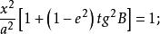
大地緯度再利用三角公式,有
大地緯度或
大地緯度因而得到
大地緯度
大地緯度
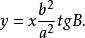
大地緯度再將值代入的式子,得到
大地緯度
大地緯度
大地緯度
大地緯度
大地緯度
大地緯度
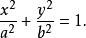
大地緯度這樣,等式和就把橢圓上任一點的坐標、表示為緯度的函式。

