基本信息
圓偏振光鏇轉電矢量端點描出圓軌跡的光稱圓偏振光,是橢圓偏振光的特殊情形。
電矢量的方向不變,而大小隨相位改變,這種光稱為完全偏振光,如果在光的傳播方向上各點的電矢量在確定的平面內,這種光被稱為平面偏振光,如果電矢量的端點的軌跡為一條直線,此時的平面偏振光又稱為線偏振光,光的電矢量末端在垂直於傳播方向的平面上描繪的軌跡為一直線的偏振光。當傳播方向相同,振動方向相互垂直且相位差恆定為φ=(2m±1/2)π的兩平面偏振光疊加後可合成電矢量有規則變化的圓偏振光。圓偏振光的電矢量大小保持不變,而方向隨時間均勻變化。相位差為φ=(2m-1/2)π時為左鏇圓偏振光,相位差為φ=(2m+1/2)π時為右鏇圓偏振光。
在我們的觀察時間段中平均後,圓偏振光看上去是與自然光一樣的。但是圓偏振光的偏振方向是按一定規律變化的,而自然光的偏振方向變化是隨機的,沒有規律的。
圓偏振光若圓偏振光的光矢量隨時間變化是右鏇的,則這種圓偏振光叫做右鏇圓偏振光,反之,叫做左鏇圓偏振光。若光矢量在時間上是右鏇的,則在空間上一定是左鏇,即“空左時右”。
橢圓偏振光
定義
橢圓偏振光是指光的電場方向或光矢量末端在垂直於傳播方向的平面上描繪出的軌跡。當兩個相互垂直的振動同時作用於一點時,若它們的頻率相同並且有固定的位相差,則該點的合成振動的軌跡一般呈橢圓形。
在光的傳播過程中,空間每個點的電矢量均以光線為軸作鏇轉運動,且電矢量端點描出一個橢圓軌跡,這種光稱為橢圓偏振光。迎著光線方向看,凡電矢量順時針鏇轉的稱右鏇橢圓偏振光,凡逆時針鏇轉的稱左鏇橢圓偏振光。橢圓偏振光中的鏇轉電矢量是由兩個頻率相同、振動方向互相垂直、有固定相位差的電矢量振動合成的結果。
圓偏振光光學元件
為便於產生和分析各種橢圓偏振光,還需要有其他種產生橢圓偏振光的光學元件,巴俾涅補償器和索累補償器是其中最常見的兩種。
(1)巴俾涅補償器
巴俾涅補償器是由光軸相互垂直的兩塊石英楔形板組成的複合稜鏡,其中楔形板的折射角α很小。當線偏振光垂直地射入補償器時,在上楔板內,線偏振光分解為o光和e光兩部分,它們沿著同一方向傳播,o、e兩光的位相差δ1取決於它們在上楔板中所穿過的晶體厚度d1,但是在下楔板內,由於上、下兩楔板的晶體光軸相互垂直,所以在上楔板內的o光和e光進入下楔板內就分別變成了e光和o光,它們間的位相差δ2取決於它們在下楔板內穿過的晶體厚度d2。
在巴俾涅補償器內,當偏振光在兩楔的中央穿過d1=d2,則自補償器出射的o光和e光之間位相差為零。當偏振光在上楔板中穿過的晶體厚度d1與在下楔板中穿過的晶體厚度d2不同時,則兩光間產生一定的位相差。所以隨著光通過楔板的不同水平位置,就能得到不同的位相差,也就是得到不同的橢圓偏振光。顯然,為了使光束截面上各點的位相差相同,這種補償器必須使用極細的光束,這是它的缺點。為了克服這一缺點,可以採用索累補償器。
(2)索累補償器
索累補償器是由兩個光軸平行的石英楔板和一個光軸垂直於兩楔板光軸的石英平行平面板組成的複合稜鏡。上楔板可由微動螺鏇使其本身作平行的移動。當上楔板這樣移動時,兩楔板的總厚度可連續改變。當兩楔板的總厚度等於下面石英平行平面板的厚度時,穿過補償器的o光和e光之間位相差為零。由改變兩楔板總厚度與石英平行平面板厚度之差即可得到較寬截面上有相同位相差的光束。
相關描述
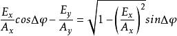
設線偏振光正入射到波片上,振動方向與光軸成θ角,入射光被分成o光(沿y軸,初相位為φ),和e光(沿x軸,初相位為φ)。
o光和e光從波片出射後:有恆定的相位差,傳播速度相同。
兩線偏振光的波動方程為:
圓偏振光
圓偏振光合成波的波動方程為:
圓偏振光
圓偏振光電矢量E作周期性的運動,與有相同的周期w。
圓偏振光
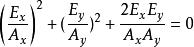
圓偏振光由的式子消除t得到關於的方程,即為電矢量E的矢端軌跡方程:
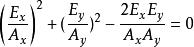
圓偏振光變換形式得到橢圓的一般方程:
圓偏振光結論:電矢量E的矢端軌跡為橢圓-橢圓偏振光。
圓偏振光邊長為的矩形,橢圓與其內切:
圓偏振光
圓偏振光
圓偏振光橢圓的形狀與和有關,分析幾種特殊情形:
圓偏振光
圓偏振光
圓偏振光(1),或的整數倍;
圓偏振光
圓偏振光則
此為直線方程,一三象限的對角線。
圓偏振光
圓偏振光(2)的半整數倍,例
圓偏振光則
圓偏振光此為直線方程,二四象限的對角線。
圓偏振光
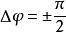
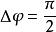
圓偏振光(3)的奇數倍,例
圓偏振光此為標準橢圓方程,主軸與坐標軸重合。
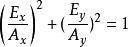
圓偏振光若,則電矢量E的矢端軌跡為圓-圓偏振光。

