試驗方法及表示
進行回舵試驗時,先將舵轉至一規定的舵角(例如20°),使船舶進入定常迴轉。然後,以儘可能快的速度把舵回到零舵角,同時記錄船舶迴轉角速度r隨時間t的變化。到船舶重新進入定常運動狀態,則可結束試驗。再將舵轉至相反一舷同樣舵角,重複進行上述試驗。試驗結果可將r—t關係畫成如下圖所示的曲線:
r—t關係曲線在上圖中,實線表示具有直線穩定性的船舶的試驗結果。虛線表示不具有直線穩定性的船舶的試驗結果。前者無論從左肱或從右舷回舵至零舵角時,最終的迴轉角速度均趨於零。即在零舵角下,船舶將恢復為直線航行。這正是船舶具有直線穩定性的一種特徵。後者從左舷回舵和從右舷回舵,最終船舶將分別趨近於以角速度a和b作定常迴轉。即舵角為零時,船舶仍會向不同方向迴轉。這正是船舶不具有直線穩定性的特徵。與螺旋試驗結果相比較。可見圖中的ab之間距離也就相當於螺旋試驗中滯後環的高度,所以它也是不穩定範圍的一種度量。
相關擴展
具有直線穩定性的船舶,回舵試驗結果還可以表示成下圖的方式:
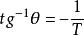
ln(r)—t曲線其中豎坐標是角速度的自然對數,橫坐標是時間。英國海軍研究所(AEW)提出以ln(r)—t曲線的斜率來表示船舶直線穩定程度。在圖中,這一斜率為:
回舵試驗
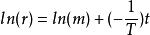
回舵試驗實際上,線上性簡化下有:
回舵試驗其中m為常數,取上式對時間的導數為:
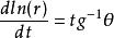
回舵試驗或寫成: (1)
(1)式表明,上圖所示回舵試驗結果曲線的斜率,也就相當於線性簡化討論的直線運動穩定度。
意義
回舵試驗是檢驗船舶直線穩定性的一種最簡便的試驗方法。它所得到的結果可以與螺旋試驗或逆螺旋試驗的結果相比較。因而它是一種常用的簡單的試驗方法。
一般,進行回舵試驗時要使用角速度陀螺來測量迴轉角速度。在沒有這種儀器來直接測量角速度時,可以用舵回舯後,到船舶進入定常運動之間,船舶艏向角的總變化來估計其穩定性。這種艏向角的變化,相當於在回舵試驗中迴轉角速度對時間的積分。在上述過程中,如測得艏向角變化為15°~20°時,則表示有很好的穩定性;船向角變化為35°~40°時,表示有適中的穩定性;艏向角變化為80°~90°時,則相當於臨界狀態,大於90°的艏向角變化往往表示船舶不具有直線穩定性。
