概述
基坑工程中由於上體的開挖與自重應力釋放,致使坑底向上回彈,開挖後,基底以下部分牆體向基坑方向變位時,擠推牆前的土體,造成坑底隆起變形加劇。基坑隆起量的大小是判斷基坑穩定性的重要指標。隨著這幾年深大基坑不斷湧現,在大規模卸苘情況下,如何準確預測坑底回彈量,一直是岩土工程界研究的熱點。
現階段基坑回彈變形估算方法有很多,主要有傳統估算方法、經驗公式方法以及殘餘應力法等,但估算結果往往與實測值相差較大。在現有計算方法中,影響最大且岩土工程界普遍認可的是殘餘應力法,但該法存在考慮因素眾多,地域性強,統計樣本局限性等不足。
基坑回彈變形的計算
傳統估算方法
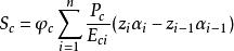
傳統估算方法將開挖視為等量卸荷,利用半空間表面沉降公式和分層總和法來預估回彈量,這也是規範的推薦方法,其計算公式為
回彈變形式中:Sc為地基回彈量,φc為經驗係數,n為計算深度分層數,Pc為基底以上土自重力,Eci為回彈模量,αi為附加應力係數。
傳統估算方法與實際開挖邊界條件有較大出入,估算結果往往數倍於實測值,但計算簡單,如能合理確定回彈模量和回彈影響深度,在充分總結地區經驗基礎上加以修正,可一定程度上滿足工程計算需要。
經驗公式
候學淵等對基底隆起進行了系統的模型試驗研究,提出計算坑底隆起經驗公式:
回彈變形式中:δ為基坑最終回隆量;H`為基坑開挖等代深度,H`=H+p/γ,p為地表超載;H為坑基開挖深度;γ為挖去土層的平均容重;D為擋土牆的入土深度;c為土體粘聚力;φ為土體內摩擦角。
該經驗公式為室內模型經驗統計公式,僅針對均質地基。
級配碎石回彈變形特性
級配碎石回彈變形特性概述
級配碎石為鬆散性材料,具有不傳遞拉應力、拉應變的特性。因此,將級配碎石作為瀝青面層與半剛性基層之間的夾層,用來吸收下臥層裂縫釋放的應變能,從而阻止半剛性底基層的反射裂縫。對於這種道路結構的設計,選擇能反映級配碎石力學特性的參數十分重要。回彈模量可以有效地描述級配碎石應力-應變的非線性關係,最為接近地模擬了材料在實際交通荷載作用下的變形特性。通過室內動三軸試驗得到的數據可以較好地擬合非線性回彈模量模型。級配碎石的回彈模量隨應力而變化,受到應力水平、材料級配和含水質量分數等因素的影響。在不同狀態下得到的材料模型參數可引入相應的計算程式中,進行道路結構設計。有關研究人員採用CBR法,或在其基礎上採用施加動荷載的簡化試驗方法,分析級配碎石混合料的動力變形特性。
級配碎石具有非線性的應力-應變特性,回彈模量是有效描述這一特性的參數,通過室內動三軸試驗能夠得到較好的模擬級配碎石回彈模量的模型。分析了影響級配碎石回彈變形特性的各種因素,並進行了試驗驗證。通過數據擬合發現,Uzan模型能更好地反映級配碎石的非線性回彈變形特性,且模型中的回歸參數與級配中小於0.075mm篩孔的質量分數有一定的關聯性。並針對影響級配碎石回彈模量的兩個重要參數:級配中小於0.075mm篩孔的質量分數和含水質量分數,提出相應的取值範圍建議。
試驗方案設計
試驗的影響因素
在進行三軸試驗中,試樣端部的約束,導致靠近試樣端部土體的徑向應變和軸向應變均偏小,高估了三軸試驗土體的剪下強度;在三軸試樣變形測量中,三軸試樣的端部接觸效應使得軸向變形被高估;試樣端部存在影響排水量的“藏水區”,導致試樣體積變化的測量誤差。因此,在設計試驗方案時,必須考慮這些不利因素的影響。
試驗儀器
將道路材料試樣在十分接近實際現場的模擬環境下進行測試。在荷載作用下,道路材料承受的荷載應力包括豎直和水平的衝擊應力及剪下應力。同時,道路材料單元體受到的主應力隨車輪荷載的靠近和離開而改變。因此,試驗儀器應該能通過施加荷載模擬交通狀況,操作簡單,並可重複使用。動三軸試驗能同時模擬級配碎石三向受壓的複雜應力狀態及反覆動載作用,因而室內重複動三軸試驗是研究級配碎石基層回彈模量最有效的方法。
應力波形、脈衝時間和頻率
汽車對路面作用的荷載波形近似一個正弦波(負向力很小,可忽略不計)。考慮實際路面上的荷載作用,採用動三軸應力波形為:半正弦矢波脈衝動偏應力。應力持續時間0.1s,間歇時間0.9s,即頻率為1Hz(60次/min)。
級配對回彈模量的影響
國外的研究表明,級配對材料的回彈模量有一定的影響,其中小於0.075mm礦粉的質量分數對回彈模量較為敏感。選取粗級配、中間級配和細級配在最佳含水質量分數下得到的回彈模量進行比較,在不同的應力狀態下,回彈模量均呈現駝峰曲線狀。在小於0.075mm礦粉的質量分數為6%時回彈模量最大。當礦粉質量分數大於或小於6%時,回彈模量均減小。

