噪聲衝擊
正文
噪聲對某區域內全部人員在社會生活各個方面產生的總影響,稱為噪聲衝擊。衝擊這個名詞是20世紀60年代在許多國家開始使用的,用以衡量某一新的措施、計畫、產品或程式對於環境的影響。70年代逐漸推廣,套用於聲學環境質量的評價,也用於比較兩個地區或兩種噪聲的噪聲污染情況。
表示方法 首先根據噪聲的危害,確定評價標準。在日常生活中評價噪聲以人們對吵鬧程度的感覺為主,對於75分貝以上的高噪聲還要考慮對人的聽力損傷。噪聲一般用全年晝夜等效聲級 (YDNL)或晝夜等效聲級(Ldn)表示(見噪聲的主觀評價)。
計算方法 根據每一聲級噪聲對人群的作用,給該聲級一個計權因數,再將這個因數乘以該聲級作用下的人數,就是這個聲級的衝擊量,即將所考慮的區域的聲級Ldn按大小分成等級,求得每一聲級的衝擊量,相加即得總計權人數:TWP=∑WiPi。式中Pi為處於i聲級範圍的人數;Wi為i聲級的無量綱的計權因數,表示i聲級的衝擊的大小,相當於受到影響的程度指數。每人平均受到的噪聲衝擊指數NII=TWP/∑Pi。式中∑Pi為總人數。
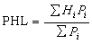
常用的計權因數稱為干擾計權因數。研究結果表明,干擾衝擊可以作為在一般較長時間內噪聲對人們的各種活動(睡眠、休息、工作、學習等)影響的一種總的評價。各聲級的干擾計權因數見表1。 當Ldn大於75分貝時,要考慮噪聲對人體健康的危害,最明顯的是噪聲對聽力的影響。這種噪聲暴露包括上班和下班時間在內。預計聽力損失 PHL代表暴露在晝夜聲級Ldn下40 年後平均在500、1 000、2 000、4 000赫的噪聲性聽力損失。它等於:


