定義
單位根這方程的複數根 z為 n次單位根。
單位的 n次根有n個:
單位根。
單位根
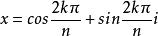
單位根單位的n次根以乘法構成n階循環群。 單位根(unit root)設n 是正整數,當一個數的n 次乘方等於1 時,稱此數為n 次“單位根”。在複數範圍內,n 次單位根有n 個。例如,1、-1、i、-i 都是4次單位根。確切的說,單位根指模為1的根,一般的x的n個單位根可以表示為: ,其中:k=0,1,2,..,n-1 ,i是虛數的單位。它的生成元是單位的n次本源根。單位的n次本源根是 ,其中k和n互質。單位的n次本源根數目為歐拉函式φ(n)。
例子
單位的一次根有一個:1。
單位的二次根有兩個:+1和-1,只有-1是本原根。
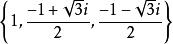
單位的三次根是
單位根其中i複數單位;除1外都是本源根。
單位的四次根是
{1,+i,-1,-i}
其中 + i和 - i是本源根。
性質
性質一
n次單位根的模為1,即|ε|=1
性質二
兩個n次單位根ε與ε的乘積還是一個n次單位根,且εε =ε
推論1:εε
推論2:
ε=ε
推論3:
若k除以n的餘數為r,則ε=ε
註:它說明ε等價於r=0
推論4:
任何一個單位根都可以寫成ε的冪,即ε=ε
說明:除了ε,還有沒有另一個單位根ε使任何一個單位根都是ε的冪,回答是肯定的,並稱這樣的根為n次本原根,n次原根。從而所有n次單位根還可以寫作
ε,ε,…,ε(ε=1)
推論5:
一個n次單位根的共軛也是一個n次單位根,即ε=ε(‘表示共軛)
因為εε=|ε|,ε=1/ε=ε=ε (由推論3)
註:由上證明看到1/ε=ε,說明所有虛的n次單位根都成對共軛
推論6:
對任意整數k,h,有ε=ε
性質三
單位根性質A=1+ε+ε+…+ε當n|m時,A=n,否則A=0
單位根推論1:
單位根推論2:設ε≠1,則
性質四
全部單位根將複平面上單位圓n等分。
和式
當n不小於 2時, n次單位根總和為 0。這一結果可以用不同的方法證明。一個基本方法是等比級數:
單位根。
第二個證法是它們在複平面上構成正多邊形的頂點,而從對稱性知這多邊形的重心在原點。
還有一個證法利用關於方程根與係數的韋達定理,由分圓方程的x項係數為零得出。

