定義
圖1在數位訊號處理的套用中,經常遇到所處理的信號不是線性組合的,而是非線性組合的,例如,數字回波抵消、數字語聲處理、數字圖像恢復等套用中,所處理的信號都是卷積性組合的信號;在數字圖像增強套用中所處理的含噪信號則是乘積性組合的信號。對於這類不屬於疊加性組合的信號,如果用線性濾波處理是不能奏效的。因此必須套用同態系統這一類特殊的、也是最先套用的非線性系統,對它們進行處理。
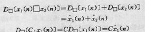
圖1對於線性系統,如果T〔·〕表示線性變換,那么,按疊加定理,對於任意兩個輸入x(n)和x(n)以及常數C有如下圖1,2運算規則:
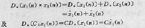
圖3在同態系統中,為了推廣疊加定理,用符號□表示系統的輸入組合的運算規則(例如:加法、乘法、卷積符號,表示輸入與常數的運算規則;符號〇表示系統輸出組合的運算規則,用H〔·〕表示系統變換。那么,我們可以推廣線性系統的運算規則如下圖3式:
也就是說,這種系統服從關於輸入運算□和輸出運算〇的類似疊加定理的一種法則。因為它是非線性系統而推廣套用了線性系統運算的疊加定理法則,故稱之為服從廣義疊加定理的非線性系統,也即同態系統,或稱廣義線性系統。圖4表示這一系統。
圖4如果系統的輸入和輸出解釋為矢量空間中的矢量,運算規則□和〇對應於矢量加法,則系統變換H〔·〕就是代數上從輸入矢量空間到輸出矢量空間的一種線性變換,稱為同態變換。
同態系統還可以用圖(b)所示的三個系統級聯來表示。這種級聯結構稱為同態系統的典型表示。其中,第一個系統D服從輸入為□運算和輸出為+運算的廣義疊加定理。
同態系統系統D的作用是將按□運算規則組合的信號x(n)和x(n),變換成一般線性組合的D〔x(n)〕和D〔x(n)。由於系統D是由運算□和:確定的,故稱為運算□的特徵系統,第二個系統L是一般線性系統。第三個系統 將加法運算變換到〇運算。系統D,是由運算〇確定的,稱為運算〇的特徵系統。
輸入和輸出具有相同運算的同態系統,可以通過 其線性部分L,把所規定運算組合的輸入矢量分離。故亦稱為同態濾波器。
在信號處理的套用中,乘法同態系統和卷積同態系統是兩類常見而又重要的服從廣義疊加定理的非線性系統。它們都是輸入和輸出具有相同運算的同態系統。
同態變換
如果系統的輸入和輸出解釋為矢量空間中的矢量,運算規則□和〇對應於矢量加法,則系統變換H〔·〕就是代數上從輸入矢量空間到輸出矢量空間的一種線性變換,稱為同態變換。
同態濾波
利用廣義疊加原理對同態系統進行濾波。
同態濾波是把頻率過濾和灰度變換結合起來的一種圖像處理方法,它依靠圖像的照度/ 反射率模型作為頻域處理的基礎,利用壓縮亮度範圍和增強對比度來改善圖像的質量。使用這種方法可以使圖像處理符合人眼對於亮度回響的非線性特性,避免了直接對圖像進行傅立葉變換處理的失真。
同態濾波的基本原理是:將像元灰度值看作是照度和反射率兩個組份的產物。由於照度相對變化很小,可以看作是圖像的低頻成份,而反射率則是高頻成份。通過分別處理照度和反射率對像元灰度值的影響,達到揭示陰影區細節特徵的目的。
同態濾波處理的基本流程如下:
S(x,y)---->Log---->DFT---->頻域濾波---->IDFT---->Exp---->T(x,y)
其中S(x,y)表示原始圖像;T(x,y)表示處理後的圖像;Log 代表對數運算;DFT 代表傅立葉變換(實際操作中運用快速傅立葉變換FFT);IDFT 代表傅立葉逆變換(實際操作中運用快速傅立葉逆變換IFFT);Exp 代表指數運算。
乘法同態系統
乘法同態系統(multiplicative homomorphic system)輸入信號組合和輸出信號組合均為運算乘,取冪,並服從廣義疊加定理的系統。
輸入和輸出均為乘法運算的同態系統典型表示。
乘法同態系統典型套用之一是對圖像信號的增強處理。圖像信號的模型可以視為照度和反射率兩個基本分量的乘積,對這些分量進行同態濾波,分別改變各個分量比例,就可以達到增加對比度和壓縮動態範圍的目的。
卷積同態系統
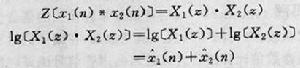
圖5卷積同態系統(homomorphic system for convolution) 輸入信號組合和輸出信號組合均為卷積運算,並且服從廣義疊加定理的同態系統。
卷積同態系統的基本原理是:設由離散卷積組成的信號序列如圖5,則其特徵系D.應具有將信號的卷積運算變換為加法運算的特性,即應有如圖6,可以知道Z變換和對數運算的結合具有上述性質。
圖6在特徵系統D中,輸出為信號序列z變換對數的逆z變換如圖7。
圖7卷積同態系統用於數位訊號處理解卷積以恢復有用信號。例如,在多徑信道或混響環境中進行通信或錄音時,可以採用同態濾波從被干擾或含噪信號中提取有用信號。卷積同態系統的重要套用之一是在數字語聲信號處理中,分離聲道衝激回響和聲門激勵信號,以及構成同態聲碼器。
