定義
圖1 公式卷積同態系統的基本原理是:設由離散卷積組成的信號序列為圖1:
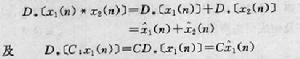
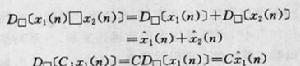
圖2則其特徵系D.應具有將信號的卷積運算變換為加法運算的特性,即應有圖2:
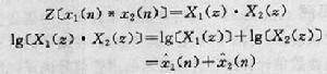
圖3可以知道Z變換和對數運算的結合具有上述性質圖3
圖4因此,輸入和輸出的信號組合均為卷積運算的典型同態系統可以表示為圖(a),其中特徵系統D。表示為圖(b),逆特徵系統表示為圖(4)。
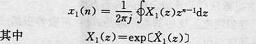
圖5在特徵系統D.中,輸出為信號序列z變換對數的逆z變換圖5
圖6
圖7稱為信號序列x(n)的復倒譜(cepstrum)。適當選取圖(a)中的線性濾波器L,可以把兩個復倒譜分開。一般兩個復倒譜位於n(時間)軸上不同區域,因此,所選線性系統L可以是一個窗函式。例如,從x(n)中提取x(n),可以選線性濾波器l(n),使得圖6或圖7
圖8其中與L(e)l(n)的z變換。整個同態系統的輸出為圖8
卷積同態系統用於數位訊號處理解卷積以恢復有用信號。例如,在多徑信道或混響環境中進行通信或錄音時,可以採用同態濾波從被干擾或含噪信號中提取有用信號。卷積同態系統的重要套用之一是在數字語聲信號處理中,分離聲道衝激回響和聲門激勵信號,以及構成同態聲碼器。
同態系統
圖9
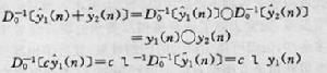
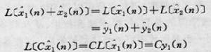
圖9同態系統(homomorphic system) 通過非線性變換將非線性組合信號變換為線性組合,便於進行線性處理的一類系統的總稱。 在數位訊號處理的套用中,經常遇到所處理的信號不是線性組合的,而是非線性組合的,例如,數字回波抵消、數字語聲處理、數字圖像恢復等套用中,所處理的信號都是卷積性組合的信號;在數字圖像增強套用中所處理的含噪信號則是乘積性組合的信號。對於這類不屬於疊加性組合的信號,如果用線性濾波處理是不能奏效的。因此必須套用同態系統這一類特殊的、也是最先套用的非線性系統,對它們進行處理。 對於線性系統,如果T〔·〕表示線性變換,那么,按疊加定理,對於任意兩個輸入x(n)和x(n)以及常數C有如下運算規則圖9和圖10
圖10在同態系統中,為了推廣疊加定理,用符號□表示系統的輸入組合的運算 規則(例如:加法、乘法、卷積符號,表示輸入與常數的運算規則;符號〇表示系統輸出組合的運算規則,輸出與常數的運算規則;用H〔·〕表示系統變換。那么,我們可以推廣線性系統的運算規則如下式圖11:
圖11也就是說,這種系統服從關於輸入運算□和輸出運算〇的類似疊加定理的一種法則。因為它是非線性系統而推廣套用了線性系統運算的疊加定理法則,故稱之為服從廣義疊加定理的非線性系統,也即同態系統,或稱廣義線性系統。圖(a)表示這一系統。
圖12如果系統的輸入和輸出解釋為矢量空間中的矢量,運算規則□和〇對應於矢量加法,對應於常數乘法,則系統變換H〔·〕就是代數上從輸入矢量空間到輸出矢量空間的一種線性變換,稱為同態變換圖12。
同態系統還可以用圖(b)所示的三個系統級聯來表示。這種級聯結構稱為同態系統的典型表示。其中,第一個系統D服從輸入為□運算和輸出為+運算的廣義疊加定理圖13:
系統D的作用是將按□運算規則組合的信號x(n)和x(n),變換成一般線性組合的D〔x(n)〕和D〔x(n)。由於系統D是由運算□和:確定的,故稱為運算□的特徵系統,第二個系統L是一般線性系統,故有圖14
圖13第三個系統將加法運算變換到〇運算,即圖15
系統D,是由運算〇確定的,稱為運算〇的特徵系統。
圖14輸入和輸出具有相同運算的同態系統,可以通過 其線性部分L,把所規定運算組合的輸入矢量分離。故亦稱為同態濾波器。例如,若要求從信號 中恢復x(n),可選擇一個合適的線性系統,使其輸出,然後,令D=D。
圖15在信號處理的套用中,乘法同態系統和卷積同態系統是兩類常見而又重要的服從廣義疊加定理的非線性系統。它們都是輸入和輸出具有相同運算的 同態系統。
乘法同態系統
圖19
圖19乘法同態系統的基本原理是:設運算乘和取冪的組合信號為圖19: 則其乘法特徵系統D應具有將乘法運算變換為加法運算的特性,即應有圖20:
可以知道,對數函式具有這樣性質圖21:
圖20這裡,X(n)和X(n)應是複數信號。這樣,輸入和輸出信號組合均為乘法運算的典型同態系統,如圖22所示。
圖21輸入和輸出均為乘法運算的同態系統典型表示乘法同態系統典型套用之一是對圖像信號的增強處理。圖像信號的模型可 以視為照度和反射率兩個基本分量的乘積,對這些分量進行同態濾波,分別改變各個分量比例,就可以達到增加對比度和壓縮動態範圍的目的。
同態變換
圖22如果系統的輸入和輸出解釋為矢量空間中的矢量,運算規則□和〇對應於矢量加法,對應於常數乘法,則系統變換H〔·〕就是代數上從輸入矢量空間到輸出矢量空間的一種線性變換,稱為同態變換。
同態濾波
利用廣義疊加原理對同態系統進行濾波。
同態濾波是把頻率過濾和灰度變換結合起來的一種圖像處理方法,它依靠圖像的照度/ 反射率模型作為頻域處理的基礎,利用壓縮亮度範圍和增強對比度來改善圖像的質量。使用這種方法可以使圖像處理符合人眼對於亮度回響的非線性特性,避免了直接對圖像進行傅立葉變換處理的失真。
同態濾波的基本原理是:將像元灰度值看作是照度和反射率兩個組份的產物。由於照度相對變化很小,可以看作是圖像的低頻成份,而反射率則是高頻成份。通過分別處理照度和反射率對像元灰度值的影響,達到揭示陰影區細節特徵的目的。
同態濾波處理的基本流程如下:
S(x,y)---->Log---->DFT---->頻域濾波---->IDFT---->Exp---->T(x,y)
其中S(x,y)表示原始圖像;T(x,y)表示處理後的圖像;Log 代表對數運算;DFT 代表傅立葉變換(實際操作中運用快速傅立葉變換FFT);IDFT 代表傅立葉逆變換(實際操作中運用快速傅立葉逆變換IFFT);Exp 代表指數運算。
