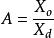
產品簡介
將輸出信號的一部分或全部送回輸入端,以改變性能的放大器 。
反饋放大器(圖2)反饋信號在輸入端與外加信號相加(或相減)組成放大器的淨輸入。當反饋信號使淨輸入增強從而使放大器增益提高時,稱為正反饋。
當反饋信號使淨輸入減弱從而使增益下降時,稱為負反饋。
表示方式
方框圖表示
反饋放大器反饋放大器可用方框圖表示,圖中X可以代表信號電壓也可以代表信號電流(信號只包括中頻段,不包括低頻段和高頻段,因此X上面不打點,即不用複數表示)。
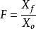
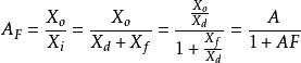
Xi為反饋放大器的輸入信號,Xf為反饋放大器的反饋信號,Xd為基本放大器的淨輸入信號,Xo反饋放大器的輸出信號,A為基本放大器的放大倍數,F為反饋網路的反饋係數。
符號≈表示比較環節,即輸入信號Xi與反饋信號Xf在該點疊加,Xi和Xf疊加後,若Xd增大為正反饋;反之,若Xd減小為負反饋。並規定,信號只能沿支路箭頭方向傳輸。
由基本放大器的輸入和反饋網路的輸出組成的閉合環路稱為反饋環,由一個反饋環組成的反饋放大器稱為單環反饋放大器。
一般表達式
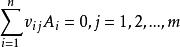
1. 一般表達式的推導
反饋放大器
反饋放大器
反饋放大器2. 基本放大器的放大倍數
反饋放大器開環放大倍數,是考慮了反饋網路負載效應的基本放大器的放大倍數。
3. 反饋網路的反饋係數
反饋放大器4. 反饋放大器的放大倍數
反饋放大器又稱為閉環放大倍數上式為反饋放大器的基本方程式。
工作原理
反饋放大器(圖3)未加反饋網路,即不構成環路(稱為開環)時,輸入信號 Xi直接送入基本放大器,放大器的輸出 X0= A Xi,其中 A為基本放大器的增益(亦稱開環增益)。
加上反饋網路,即構成反饋環路(稱為閉環)時,送入基本放大器的淨輸入變為 Xi- B X0, B是反饋網路的增益。輸出 X0與輸入 Xi之比 Af為反饋放大器的增益(稱為閉環增益)。
反饋放大器上式是反饋放大器的基本關係式,它表示閉環增益與開環增益間的關係。其中 A和 B一般為複數,隨頻率而變,因此, Af一般也是隨頻率而變的複數。
在中頻,如 A B為負,式中分母(1- A B)的值大於1,閉環增益變小,相當於負反饋;如 A B為正,且其值小於1,式中分母(1- A B)也小於1,閉環增益變大,則相當於正反饋。
當 AB為正,且 A B≥1時,系統就質變到自激狀態,該式失效。
作用
反饋網路的作用是使系統的輸出和輸入發生聯繫,形成稱為反饋環的環路。
反饋放大器(圖4)反饋放大器由基本放大器、反饋網路、取樣電路和混合電路組成。負反饋已在實際放大器中獲得廣泛套用。這是因為它能在如下幾個方面改變放大器的性能,達到所希望的效果。
①對增益的影響:負反饋能使放大器的閉環增益趨於恆定,少受開環增益波動的影響。
如果使式中的乘積 A B的絕對值比1大很多,則閉環增益 Af≈1/ B。這樣,只要用比較恆定的無源元件組成的反饋網路,負反饋放大器的增益就基本上不受開環增益 A的影響。正反饋雖然提高了增益,但卻不能使增益恆定。
②對放大器輸入和輸出阻抗的影響:放大器輸入阻抗值會因信號在輸入端混合的方式不同而異。
在負反饋的情況下, 電壓混合使輸入阻抗增高,電流混合使輸入阻抗降低。而輸出阻抗則因對輸出信號的取樣方式不同而異。在負反饋的情況下,電流取樣使輸出阻抗增高,電壓取樣使輸出阻抗降低。對這些混合方式和取樣方式取不同的組合,可得四種能滿足不同使用要求的反饋方式。
反饋放大器(圖5)③對放大器非線性失真的影響:在相同的輸出幅度下,負反饋放大器的非線性失真比無反饋者為小。但當輸入信號的運用範圍很大,例如運用到電子器件的飽和與截止狀態時,雖採用負反饋,也起不到減小非線性失真的作用。
④對通頻帶的影響:負反饋能使放大器的幅頻特性變得比較平坦,通頻帶得到展寬。
正反饋放大器具有較高的增益和較好的選擇性,但頻帶變窄,且工作穩定性差。除早期的再生式高頻放大器外,一般放大器很少採用正反饋。
反饋判斷
反饋放大器是由基本放大器和反饋網路兩部分組成。基本放大器是將輸入量放大後送到輸出端,而反饋網路是將輸出迴路中的輸出量的一部分或全部分反送回到輸入迴路。因此反饋放大器判斷方法如下:
有無反饋
首先判斷有沒有反饋支路,如有,則放大器有反饋;如沒有,則放大器無反饋。判斷出放大器有反饋後,還要進一步判斷這條支路如果只對交流信號起作用,就為交流反饋;如果只對直流起作用,就為直流反饋;如果對交流和直流都起作用,就為交直流反饋。
反饋類型
判斷反饋放大器是電壓反饋還是電流反饋,是串聯反饋還是並聯反饋,一般用短路法判斷。
將反饋放大器的負載RL短路,即令輸出電壓Vo=0。如無反饋信號經反饋支路加到反饋放大器的輸入迴路,為電壓反饋;反之,如有反饋信號經反饋支路加到反饋放大器的輸入迴路,為電流反饋。
將反饋放大器的輸入端對地短路,即令輸入電壓Vi=0。如果反饋信號能加到基本放大器的輸入端,為串聯反饋;反之,如果反饋信號不能加到基本放大器的輸入端,為並聯反饋。
正負反饋
用電壓的瞬時極性(稱為瞬時極性法)判斷正、負反饋
在對反饋極性在電路中的體現進行判斷的過程中,最有效和基本的方法就是瞬時極性法 。
設反饋放大器某瞬間輸入電壓Vi的相位為正(用+表示),經基本放大器逐級的相位變化,又從輸出迴路通過反饋支路反回到放大器的輸入端的電壓為正(用(+)表示),即為正反饋;反之,如果經反饋支路反回到放大器的輸入端的電壓為負(用(-)表示),即為負反饋。

