概述
(1)放射性氙、氪的處理和分離
反應堆工藝
反應堆工藝在反應堆中裂變時,要生成多種裂變產物。除固體外,還有氣體,其中有氙和氪的放射性同位素,過去無法使它們生成化合物而被除去,又不能立即向大氣中排放,只得用專門的容器儲存,讓短壽命的放射性同位素“死”掉。例如在核輻射固定氮的生產過程中,只得將 儲存起來,待其放射性顯著降低後,通過特別設計的高煙囪向大氣中排放,這不僅增加了工藝過程中的設備,延長了生產時間,而且仍然對環境造成一定的污染。現在已可用生成氟化氙的方法而除去放射性氙,小型試驗已經成功。
根據氙和氪同氟化合能力的差異性,利用氙比氪易於生成氟化物的特點,將裂變產物中的氙和氪分離出來,作為放射性同位素供實際套用,這個方法已在處理反應堆裂變產物的工藝中試驗過,達到了預期的分離效果。
反應堆工藝(2) 作減速劑
反應堆工藝
反應堆工藝
反應堆工藝
反應堆工藝
反應堆工藝
反應堆工藝
反應堆工藝
反應堆工藝
反應堆工藝
反應堆工藝在反應堆中裂變時生成氙,其中 的熱中子俘獲截面很大(達 ),隨著它的聚集,反應堆中的熱中子就大量被這些“毒物”俘獲,影響到反應堆的正常運轉,所以要及時將 這類“毒物”分離出來。另一方面, 熱中子俘獲截面很大的這個特性,又可用來作效率極高的減速劑,用以控制反應堆的正常運轉。用單質 作減速劑,由於氙是氣態,體積很大;若用化合物 ,根據 的密度,可以計算出 中所含的氙,相當於500 arm下的單質氙,使用起來可能很方便。但 的輻射穩定性不夠高,能否實際套用,還有待於實踐。
反應堆工藝廢氣的來源
反應堆工藝
反應堆工藝
反應堆工藝
反應堆工藝裂變產生的放射性氣體主要是氪和氙的各種同位素,反應堆運行中,它們通過破損元件包殼裂縫進入冷卻劑,壓水堆燃料元件包殼的允許破損率一般小於1%,即使如此,漏入冷卻劑的裂變氣體也可達到可觀的濃度,如 約達 。 約達 。裂變氣體的放射性強度占冷卻劑放射性強度總量的90必以上。
高壓下,裂變氣體可溶解於冷卻劑中,但當系統內有氣相空闖時,它們就會揮發出來,特別在進行冷卻劑脫氣處理時,幾乎所有的裂變氣體都將隨著溶解氫氣或氮氣一起釋放,最後被收集到廢氣貯存櫃,成為反應堆的工藝廢氣。壓水堆的工藝廢氣主要來自下列設備。
(1)硼回收系統脫氣裝置;
(2)化學和容積控制系統的容積控制箱;
(3)蒸汽壓力釋放箱;
(4)堆排放貯槽。
反應堆工藝
反應堆工藝
反應堆工藝
反應堆工藝
反應堆工藝工藝廢氣的主要成分是氫氣、氮氣和少量放射性惰性氣體以及碘等。其中裂變氣體的化學含量甚微。但在燃料元件破損率較高時,氣體中的放射性濃度可達到 。廢氣的年產量與反應堆運行條件有關,一般為幾千到數萬立方米。透過破損燃料元件包殼漏入冷卻劑的裂變氣體,有相當一部分在冷卻稍循環過程中衰變了。在向環境排放前又要經過一段“冷卻”時間,所以壓水堆核電廠排出的廢氣放射性水平很低,多數隻占容許排放量的百分之幾。排出氣體的主要成分是 、 、 和 等。
反應堆工藝廢氣的排放
為了保證環境安全,工藝廢氣向環境排放前應進行必要的處理,現行的反應堆幾乎都採用貯存衰變法以降低工藝廢氣的放射性水平,常溫活性炭延滯法也可達到相同目的。隨著對核電廠環境保護要求的日趨嚴格,“零排放”的廢氣處理方法也獲得發展。
(1)貯存表變法
反應堆工藝
反應堆工藝
反應堆工藝
反應堆工藝在放射性裂變氣體中。除 外,其它核素的半衰期都比較短。產額最高的 (占裂變產額的6.59%)半衰期為5.29d,其次的 和 的率衰期只有幾分鐘。若將匯集的氣體加以貯存或滯留一段時間,任其自然衰變,能有效地將其大部分放射性核素去除。
壓水堆廢氣處理系統示意圖如右圖所示為壓水堆廢氣處理系統示意圖。
反應堆工藝其工藝流程大致如下,由廢氣壓縮機將廢氣貯存櫃中的工藝廢氣抽出並壓入氣體衰變貯存櫃,貯存60~90d。這樣除半衰期很長的 ,其它短壽命核素都得到充分的衰減。貯存期已滿的氣體經過濾盾。與廠房通風氣流匯合,有控制地排入大氣。總排氣管設有放射縫自動監測儀,當氣體放射性濃度超過允許值時,它能自動停止排放。
(2)活性炭延滯法
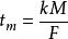
反應堆工藝
反應堆工藝當放射性氣體Kr、Xe通過活性炭時,由於連續的吸附、解吸過程麗被延滯,得以充分衰變,使活性炭床出口處廢氣的放射性水平大為降低,這就是活性炭延滯法的簡要原理。氣體通過活性炭床的延滯時間 可用下列公式表示:
式中,M——活性炭裝量,t;
反應堆工藝F——氣體流量, ;
反應堆工藝k——活性炭的動態吸附係數, 。
不同種類的活性炭、不同的工作溫度、壓力以及氣體中不同的含水量,都對動態吸附係數有影響,其中溫度影響最為顯著,溫度越低,k值越大。
活性炭延滯法的優點是系統簡單、操作連續、使用時間長。缺點是常溫下活性炭吸附容量低,需要大量吸附劑,以致設備龐大。這種方法適用子大量廢氣的處理。
(3)“零排放”廢氣處置方法
反應堆工藝經過上述方法處理後的廢氣,或多或少還包含一些放射性核素,特別是 ,為了儘可能向大氣少排或不排放射性核素,1971年美國西屋公司提出了。零排放”廢氣處置方法。
“零排放”廢氣處置方法的示意圖如右圖所示為“零排放”廢氣處置方法的示意圖。簡 要的工作原理如下:將一股氫氣連續地通過容積控制箱,與堆冷卻劑中脫出的衰變氣體相混合,而後攤入廢氣迴路壓縮杌吸入側身循環氮氣流中。經壓縮後送入催化複合器中,並向催化複合器加入一定比例的氧,使之與氮氣流中的氯複合成水,冷凝後去除。剩餘氣流通過氣體衰變籍返回壓縮機吸入側,即完成一個循環。如此不斷往復以致反應堆無需排放任何工藝廢氣。一旦在工作著的衰變箱內的放射性濃度達到限制值,進氣閥門將自動關閉,停止進氣,另一台備用的衰變箱投入運行。這樣,廢氣中的放射性氣體都被保留在貯存衰變箱中或循環氮氣流中。

